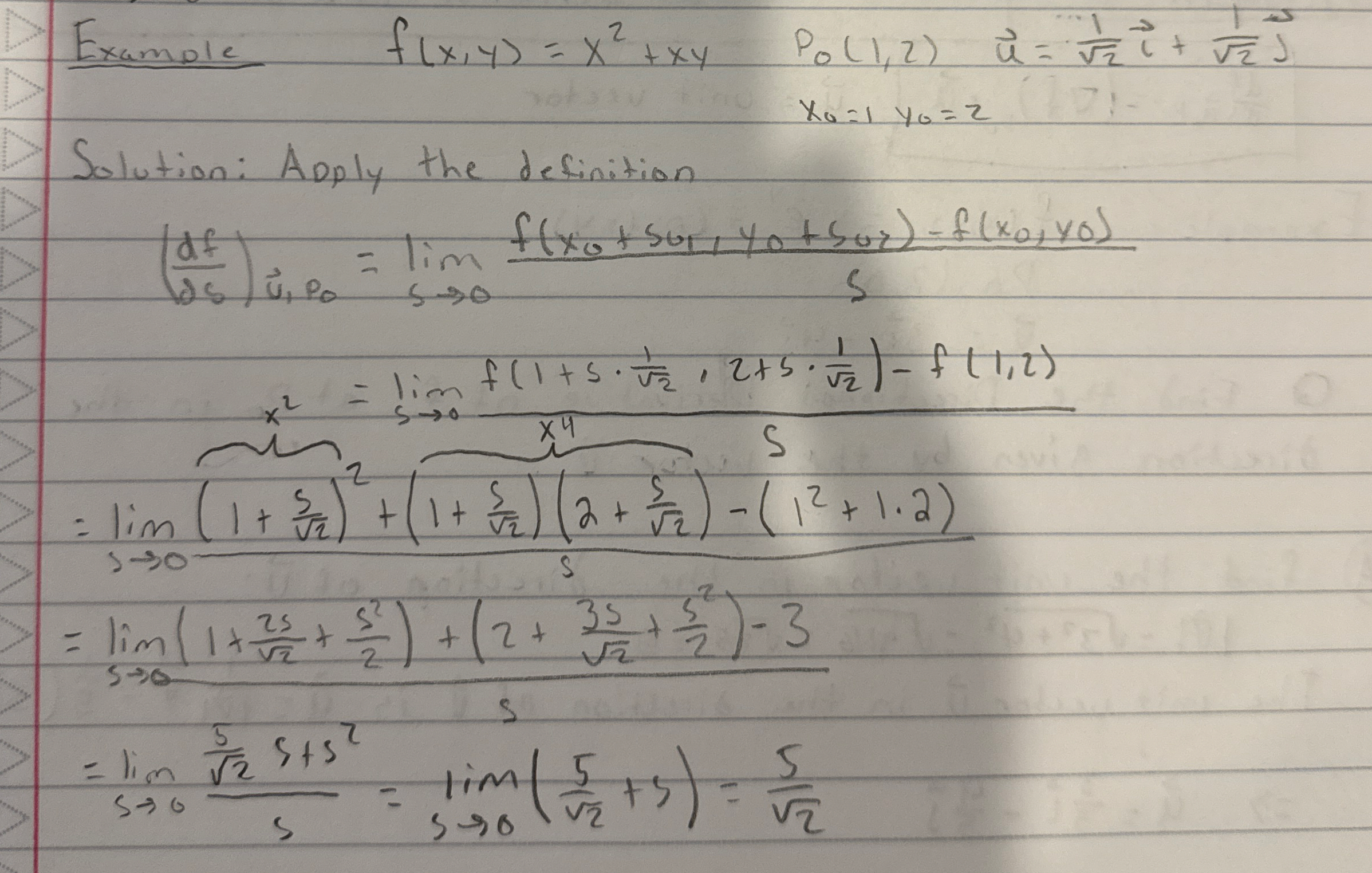
Question: This is a worked class example I I would like to know how to calculate the directional derivative using the gradient vector formula below is
This is a worked class example I I would like to know how to calculate the directional derivative using the gradient vector formula below is the worked example Thank you!!!! vecvecvec
Solution: Apply the definition
Step by Step Solution
There are 3 Steps involved in it
1 Expert Approved Answer
Step: 1 Unlock
Question Has Been Solved by an Expert!
Get step-by-step solutions from verified subject matter experts
Step: 2 Unlock
Step: 3 Unlock
