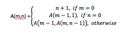
Question: This is Ackermans function A(m,n), a) What is the value of A(2,1)? b) Write a recursive program to calculate A(m,n)? A(m,n)=n+1,ifm=0A(m1,1),ifn=0A(m1,A(m,n1)),otherw

This is Ackermans function A(m,n),
a) What is the value of A(2,1)?
b) Write a recursive program to calculate A(m,n)?
A(m,n)=n+1,ifm=0A(m1,1),ifn=0A(m1,A(m,n1)),otherw
Step by Step Solution
There are 3 Steps involved in it
Get step-by-step solutions from verified subject matter experts
