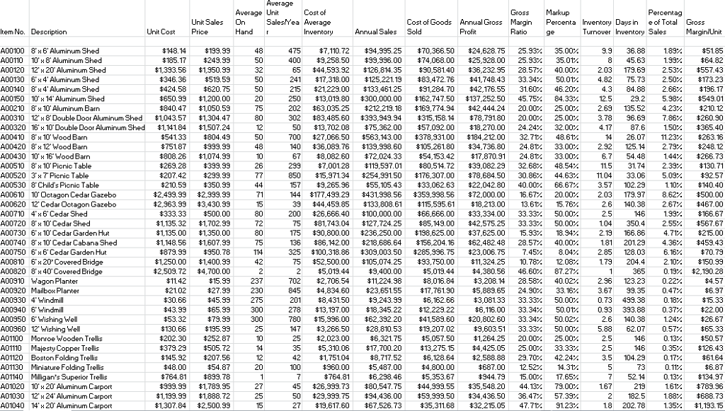
Question: This is an excerpt from Milligan's Backyard Storage Kits. Use the table below as the basis. 1. Mr. Milligan wants to reduce his inventory by
This is an excerpt from Milligan's Backyard Storage Kits. Use the table below as the basis.
1. Mr. Milligan wants to reduce his inventory by $200,000. Which items would you recommend that he remove from his inventory? Why?
2. Give two to 3 recommendations of any sort. Like what should be done on the inventory to make the business better?(remove products, enhance products, add more stocks, etc)

A00100 A00110 10x8 Aluminum Sha 20 12 *20 Aluminum Shed um Shed 40 x 4 Aluminum Shed A00150 10 Aluminum Shed A00210 x 10 Aluminum Barn 00310 12 *8' Double Door Aluminum Shed 20 16 10 Double Door Aluminum s 8 x Wood Barn 00420 12 Wood Barn 00430 x 16 Wood Barn A00510 8 H10 Picnic T able 20 3 x 7" Picnic Table A00530 8' Child's Picnic Table A00610 10' Octag Cedar Gazebo 00620 12' Cedar Ootagono Gazebo A00710 4' x 6 da Shed 00720 8 x Cedar Shed 00730 x 10 Cedar Garden Hut 40 8 x 10 Cedar bana Shed 00750 *6' Cer dar Garden A00810 x 20' Covered Bridge A00820 8H40 Covered Bridge A00910 Wagon Planter A00920 Mailbox Plante 30 40 Win 50 Wis hing Well 60 12 shing 01100 Monroe Wooden Trellis A01110 Majesty Copper Trellis A01120 BostonFolding Trellis A01130 Miniature Fol ding Trellis A01140 Milligan's Superior Trellis 010 20 20 A m C. 01030 12 24 Aluminum Carpo 40 x20 Aluminum Carport 010 1,393.56 1,950.39 $346.36 $519.59 24.5 0.7 $650.39 $1200.00 $840.47 0.5 $1,043.57 $1304.47 $1,141.8 7.2 $541.33 $804.49 $7 51.8 $999.99 $808.26 1,074.99 $269.28 $399.99 $207.42 9.9 $210.59 $350.39 $2499.99 $2,999.99 $2,963.99 $3.430,99 3.3 0.0 $1135.32 $1,702.39 $1,135.0 1.350.0 1,607.39 $879.99 $950.78 $1,250.00 $1,400.99 $2,509.72 $4,700.00 5.9 $27.99 5.9 $43.99 $65.99 $53.32 $79.99 0.66 $195.99 $202.30 $252.87 9.2 5.7 $145.92 $207,56 8.0 4.8 $764,8 $899,78 9.9 1,78 9.95 $1,199.99 $1,888.7 $1,307.84 $2,500.99 Sales Yea Average Cost of Goods Annual Gross Margin Percenta Invento 32 $44,593.92 26 814.35 58 $36,232.95 28.5 7% 00 2.03 50 241 $17,318.00 $125,221.19 $83,472.76 $41,748.43 33.34 50.01% 4.82 50 215 22 9.0 33 25 91.284.70 76.55 31.6 45.20% $13,019.80 $300,000.00 $162,747.50 $137,252.50 45.75% 84.33% 12.5 202 035.2 $212,219 $169.774.34 2,444.2 20 00% 2.69 80 302 $83,485.60 $393,949,94 $315,158.13 $78,791.80 0,00% 25.00% 3.78 70 2.08 75 00 $57,092.00 $18,270.0 24.2 00% 4.17 50 $27,066.50 $378,93 $184,212.0 32.71% 48.61% 48 08 39,998.60 05.26 $34,73680 24.8 00 2.92 08 2.60 $72,024.33 54,153 7,8 24.8 3300% 26 299 $7,001.28 $119,597 $80,514 72 97134 54 50 76,3 00 07 $39,082.29 32.68K 48.54% 115 $7 8,684.50 30.8 63% 104 44 57 $9,265.96 $55,105.43 $33,062.63 $22,042.80 40.00% 66.67% 3.57 144 49 43 56 $3 9.2 59,938.56 $7 2,000.0 6.6 00% 2.03 $44,459.85 $133,808.6 $115,595.61 $18,213.00 3,61% 15.76% 2.6 200 $26,666.40 $100,000.00 66. $33,334.0 333 66,6 00 72 $81,74 3.0 $127,724.25 $85,149 $42,575.25 33,33% 00 104 80 80 0.0 36 250.00 38,625 7,625.00 5.9 94 2.19 75 $86,14 2.0 64 56,204 $62,482.48 28.5 7% 00 18 325 $100,31886 $309 003.50 $285,936 $23,006.75 7.45% 2.85 42 50 0.0 05 4.25 750 24.25 0.7 12.08% $5,019.44 $9,400.00 $5,019.44 $4,380.56 46,60% 87.27% 706.54 98 ,016. 3.2 8.5 02% 2.9 845 $4,834.60 $23,651.55 $17761.90 $5,889.65 24,90% 33.16% 3.67 8,43150 $9 99 62. 3,08133 33.3 00% 0.73 278 $13,197.00 $18 345.22 $12,229.22 $6,116.0 33,34 50.01% 0.93 996.00 $62,392.20 $41,583.60 $20,802.60 33.34 02% 25 47 266.50 $28 810.53 $19,207 9,6 33.33% 50.00% 5.88 $2,023.00 $6,321.75 $5,057.50 $1,264.25 0.0 25.00% 2.5 4,425.0 5.0 3333% 0.0 $17 20 $13.275. $175104 $8,717.52 $6,128.64 $2,588.88 29,70% 42.24% 35 $96 0.0 $5 00 $4,800 $6 87.0 2.5 $764.8 $6,298,46 $5,353.67 $80 547 75 $44,939.55 $35,548.20 44.1 99 9.7 25 $29,999.75 $94,436.00 $59,999.50 4,4 36.50 36,47% 57.39% 7.60 $67,526.73 $35,311.68 $32,215.05 47.71% 9123 9.69 75.73 4.88 29.2 5.52 96.69 87.6 26,07 5.14 54.48 31.74 33.06 102,29 9.97 10.38 350,4 6.86 29 128.03 04.4 365 123.23 99,35 9.38 393.88 62.07 46 104,29 182.5 202.78 2.53 2.50% 2.66 5.98% 7.86% 150 23% 2.79% 14 4% 2.39% 110% 8.62 2.67% 199 2.55% 4.71 4.36 6.16% 2.10 0.19% 0.22 0,47% 0.18 0.37% 124% 0.57 0.13% 0.35 0.17% 0.11 88% 135% $55 7.43 $173.23 $196.17 $549.0 $210.12 $260.90 $365.4 $263.16 $248.12 $266.73 $130.7 $92.5 $140.40 $50 0.0 $467.00 $16 6.6 $567.6 $215.00 $45 9.43 $70.79 $150 0.9 $2,190.28 4.5 $6.97 5.33 $22.0 $26.67 $65.33 $50.57 $12 6.4 $6164 6.8 $688.73 $1,193.15
Step by Step Solution
There are 3 Steps involved in it
Get step-by-step solutions from verified subject matter experts
