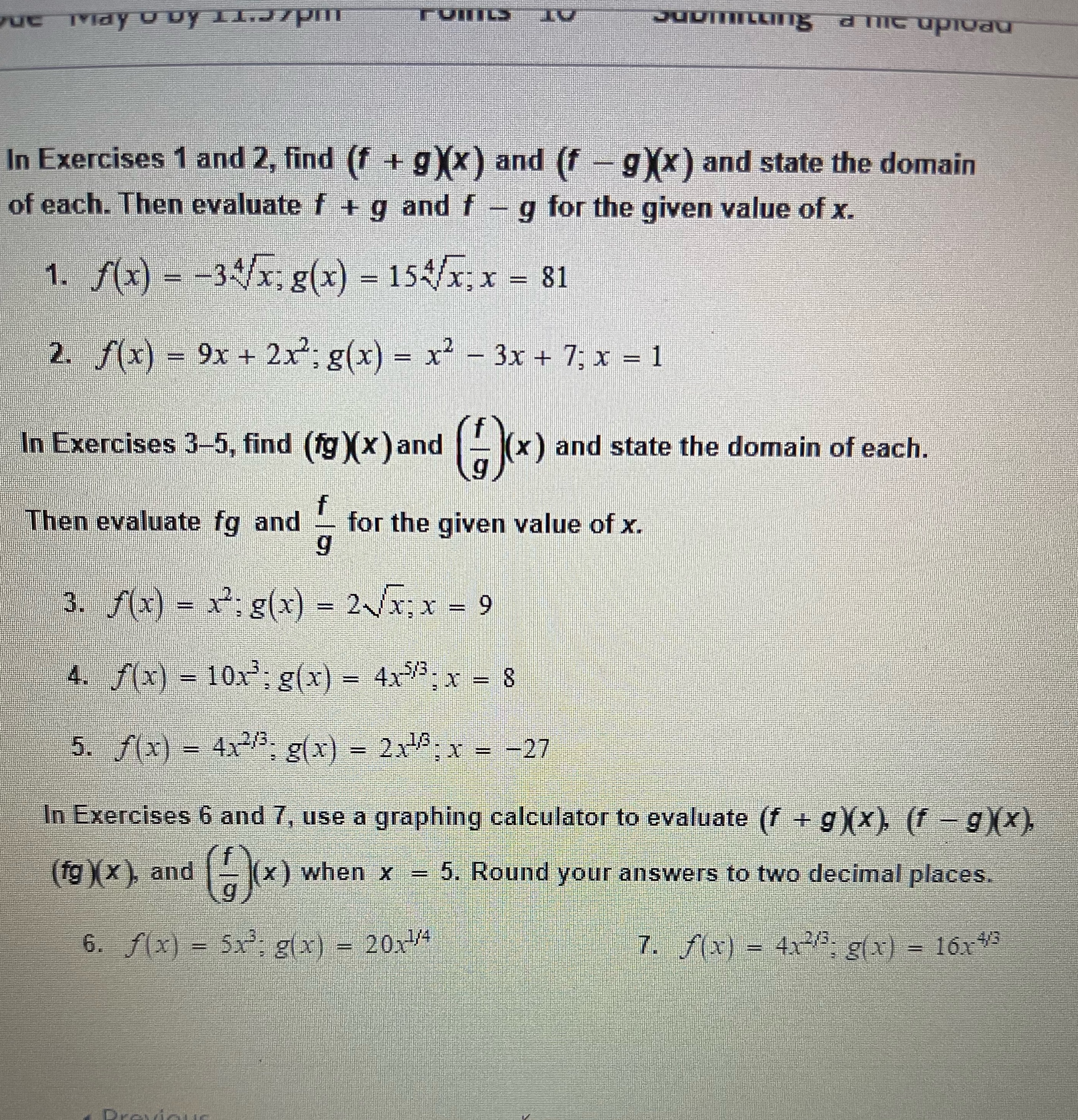
Question: this is from Algebra 2 chapter 5.5. I couldn't be in class and now I'm having trouble doing this homework. Thanks for your help. f
this is from Algebra 2 chapter 5.5. I couldn't be in class and now I'm having trouble doing this homework. Thanks for your help.

Step by Step Solution
There are 3 Steps involved in it
Get step-by-step solutions from verified subject matter experts
