Question: This is in Differential Calculus. Answer what is required. Provide clean and clear legibly readable HANDWRITTEN complete solutions. Minimize erasures and provide a clear picture

This is in Differential Calculus. Answer what is required. Provide clean and clear legibly readable HANDWRITTEN complete solutions. Minimize erasures and provide a clear picture of the solutions thank you and Godbless.

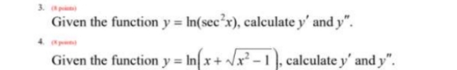
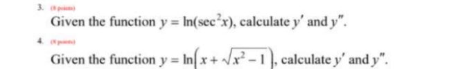
3. apo Given the function y = In(sec x), calculate y' and y". 4. pub) Given the function y = In( x +
Step by Step Solution
There are 3 Steps involved in it
Get step-by-step solutions from verified subject matter experts
