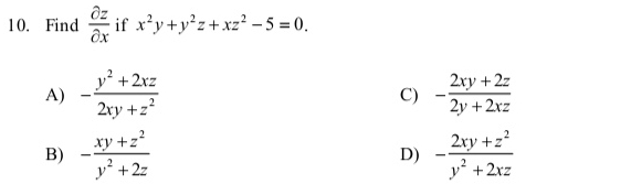
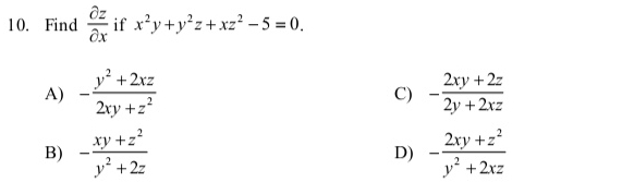
Question: This is in Differential Calculus. This is only multiple choice. Provide necessary solution. Thank you and Godbless. 10. find if x2y+y2z+xz 2vy + 22 Zvy

This is in Differential Calculus. This is only multiple choice. Provide necessary solution. Thank you and Godbless.

10. find if x2y+y2z+xz 2vy + 22 Zvy + 22 C) Zvy + 22
Step by Step Solution
There are 3 Steps involved in it
Get step-by-step solutions from verified subject matter experts
