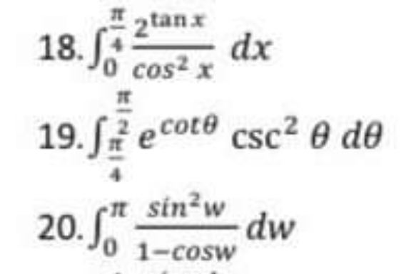
Question: This is in Integral Calculus. Provide a Clean and clear legible handwritten complete solutions. Minimize erasures and Provide a clear picture of the solutions thank
This is in Integral Calculus. Provide a Clean and clear legible handwritten complete solutions. Minimize erasures and Provide a clear picture of the solutions thank you and Godbless.

Step by Step Solution
There are 3 Steps involved in it
Get step-by-step solutions from verified subject matter experts
