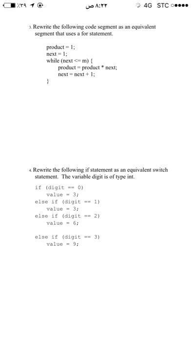
Question: This is introduction to computing course , (short answer question) 4G STC o 3. Rewrite the following code segment as an equivalent segment that uses
This is introduction to computing course , (short answer question) 4G STC o 3. Rewrite the following code segment as an equivalent segment that uses a for statement. product-1; next 1; while (next m) product product next next next 1 4 Rewrite the following if statement as an equivalent switch statement. The variable digit is oftype int. if (digit 0) value 3; else if (digit 1) value 3; else if (digit 2) value 6; else if (digit 3) value 9
Step by Step Solution
There are 3 Steps involved in it
Get step-by-step solutions from verified subject matter experts
