Question: This is not a question , these are the answer of my question, But these are in hand written answer, I need these answer in

This is not a question , these are the answer of my question, But these are in hand written answer, I need these answer in text

You just need to copy these answer and convert them into text

You just need to copy these answer and convert them into text

You just need to copy these answer and convert them into text

You just need to copy these answer and convert them into text

You just need to copy these answer and convert them into text

Answer 7

This is not a question , these are the answer ofThis is not a question , these are the answer ofThis is not a question , these are the answer ofThis is not a question , these are the answer ofThis is not a question , these are the answer ofThis is not a question , these are the answer ofThis is not a question , these are the answer ofThis is not a question , these are the answer ofThis is not a question , these are the answer of
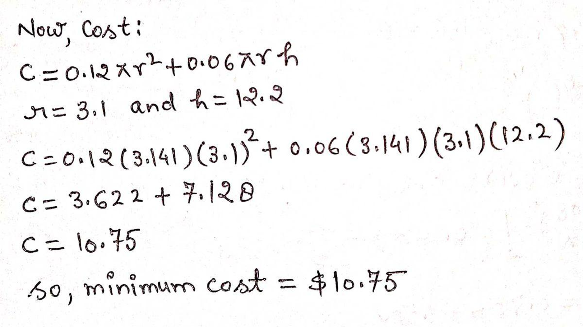
\fMean = M = Ex. P( x) = 3.0 Standard deviation = = 7/ [X 2 P( x ) - (EX. P( x ) ) 2 = 16 - ( 3 . 8 ) 2 = V 1. 56 Now; P( one standard deviation of the mean) = P ( H - o h= 360 XY 2 Now, C(7) = 0. 12 x72+ 0.06Xx 360 C ( r ) = 0. 12 72 + 21.6/ c' ( r ) = 0 . 24 x8- 21.6/ 2 Now, C ( ) = 0 = 0 = 0. 24 RY - 21.6 7 2 0. 24XY= 21.6 7 73 - 21.6 7 2 0. 24x J = ( - 90 Now, C" ( 1 ) = 0. 24 + 93. 2 / M 3 c' [(90 ) '3 ] = 0.24x + 9312 go = 0.754 + 1.500 = 2. 262 70go Now n= go 13 M = 3.141 M = (28.653 ) 3 n = 3.060 cm. Now, h= 360 Xx 2 h = 360 ( 3 . 141 ) ( 3. 060 ) 2 360 h = 29.411 h= 12. 240 Cm. = 3.1 Cm. S Rounded to the ? h = 12.2 cm. nearest tenth 50, The dimension of the can : n= 3.1 Cm. and h= 12.2Cm.\fSolution given data s = s (t ) To determine the whether an object is traveling towards or away from the origin .Now, at time 't' we need to check whether the particle in moving toward or away the origin -First find position by putting value of time in is ( ) , -) Now , we find the velocity at that time . V = ds = 8' ( ) Now , after putting valued t' in 8 ( ) and V ' - It 8 ( t ) > O and V then particle in moving toward the origin and , If atloand V>o or # koand VLO then particle in , moving away from the origine

Step by Step Solution

There are 3 Steps involved in it

1 Expert Approved Answer
Step: 1 Unlock blur-text-image
Question Has Been Solved by an Expert!

Get step-by-step solutions from verified subject matter experts

Step: 2 Unlock
Step: 3 Unlock

Students Have Also Explored These Related Mathematics Questions!