Question: This is Simple calculous. Please if you can type it that would be very helpful. Thank you. Show all work for each question. 1. Find
This is Simple calculous. Please if you can type it that would be very helpful. Thank you.


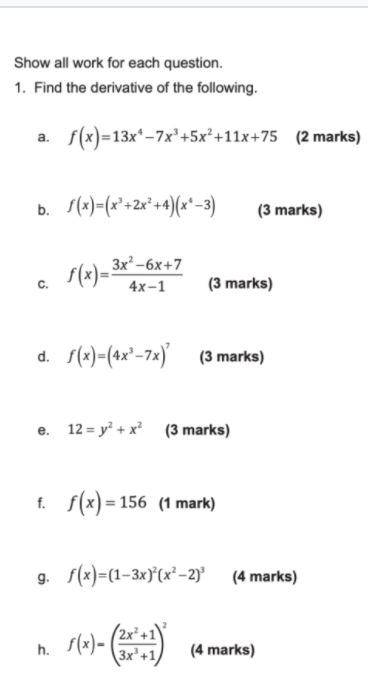
Show all work for each question. 1. Find the derivative of the following. a. f(x =13x* -7x3 +5x +11x+75 (2 marks) b. f(x)=(x+2x7 +4)(x*-3) (3 marks) c. f (x)= 3x -6x+7 4x-1 (3 marks) d. f (x)=(4x3 -7x) (3 marks) e. 12 = y + x (3 marks) f. f (x)= 156 (1 mark) g. f x)=(1-3x)(x -2) (4 marks) h. f(x) - 2x2 +1 3x +1 (4 marks)2. Evaluate f"(x) for f (x) - (3x2 -7x +4) (3 marks) 3. Find the third derivative of f (x)=12x -3x +4x5+5x+6 . (3 marks) 4. Find the equation of the tangent line to the curve y = x -2x+3 at the point (2,3). (2 marks) 5. Find the point on the parabola y=-x+3x+4 where the slope of the tangent line is 5. (2 marks) 6. Give one example of a rate that is decreasing and one example of a rate that is increasing. (2 marks) 7. When a vehicle is said to be travelling at -35 km/h, what does this infer? (2 marks) dv 8. If V represents the volume of an object, what does dt represent? (2 marks)
Step by Step Solution
There are 3 Steps involved in it
Get step-by-step solutions from verified subject matter experts
