Question: This is the function. 2(y - 2)4+ (x-1)3 - 9(x -1) ()-2) f (x, y ) = 1+ 20f ( x ly ) = 1+
This is the function.


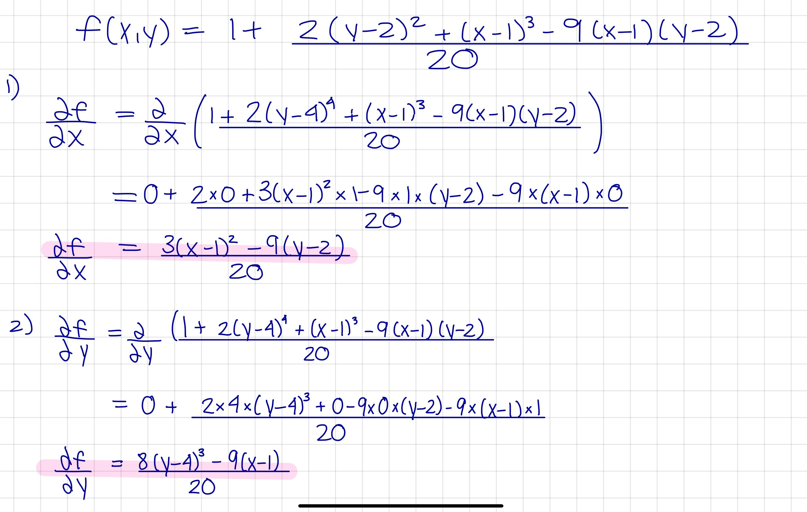
Step by Step Solution
There are 3 Steps involved in it
1 Expert Approved Answer
Step: 1 Unlock
Question Has Been Solved by an Expert!
Get step-by-step solutions from verified subject matter experts
Step: 2 Unlock
Step: 3 Unlock
