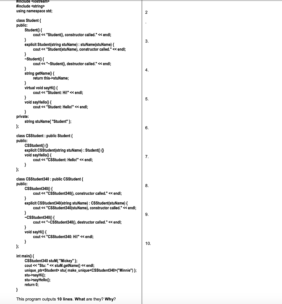
Question: This program outputs 10 lines. What are they? Why? #include #include using namespace std; 2 class Studentf public Student0 explicit Student(string stuName): stuName(stuName) Student0 string
This program outputs 10 lines. What are they? Why?

#include
Step by Step Solution
There are 3 Steps involved in it
Get step-by-step solutions from verified subject matter experts
