Question: this question can only solve by using matlab For a given matrix A and a column b, apply six iterations of the Gauss-Seidel method to
this question can only solve by using matlab
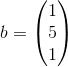
For a given matrix A and a column b, apply six iterations of the Gauss-Seidel method to the SLE Ax = b with initial approximation
x(0)= 0 to find an approximate solution x(6) of the SLE Ax = b. Thereby calculate the norm of the residual vector for this approximate solution.

(A)7.850.10-3(B) 7.85210-3 (C) 7.85410?3 (D) 7.85610?3

(B) 4.86210?5 (C) 4.86410?5 (D) 4.86610?5
(E) 7.85810?3
16 16 8 A 3 13 7 5 8 16
Step by Step Solution
There are 3 Steps involved in it
Get step-by-step solutions from verified subject matter experts
