Question: This question has four parts: a, b, c, and d. Please answer all four. a) The following 12 financial ratios are provided please help me
This question has four parts: a, b, c, and d. Please answer all four.
a) The following 12 financial ratios are provided please help me understand which of these (up to a total of 6) would be best to measure the performance of a company? Moreover, there are 4 others that are not listed.
b) What is ALTMAN'S Z-SCORE. How can this be useful in measuring a company's performance and the company's financial condition?
c) Based on the financial information what are the company's strengths, weaknesses, opportunities, and threats?
d) Using the financial information provided what is the financial condition of Bon-Ton by using ratio analysis?
Please explain what a SWOT analysis is and how it can be executed.
(1) ROS (return on sales) = Net incomeet sales
(2) Asset turnover (AT) = Net sales/Total assets
(3) ROA (Return on assets) = Net income/Total assets or = ROS x Asset turnover (AT)
(4) Financial leverage (FL) = Total assets/Total owners' equity
(5) ROE return on equity) = Net income/Total owners' equity or ROA x Financial leverage (FL)
(6) Current Ratio = Total current assets/Total current liabilities
(7) Inventory turnover = Cost of goods sold (COGS)/Ending inventory
(8) Receivables collection = ((Accounts receivable/(net sales/365))
(9) Revenue Growth = This year's net sales - Last year's net sales/ This year's net sales
(10) Gross margin = Net sales - COGS/Net sales
(11) Dividend payout = Cash dividends/Net income
(12) R&D ratio = Research and development expense/Net sales
Please use other examples such as the Quick Ratio.
Company information:
ABOUT THE COMPANY
Bon-Ton Stores Inc. was a department store chain in the United States founded in 1898. The company's stores offered "fashion apparel and accessories for women, men, and children." Its products also included "cosmetics, home furnishings, and other goods." As of 2017, the company operated through more than 250 stores in 24 states, and the majority of its stores were leased. The company was headquartered in York, Pennsylvania, which was its administrative and sales support hub. The merchandising and marketing divisions were based in Milwaukee, Wisconsin. The company owned and leased distribution centers in Illinois, Pennsylvania, and Ohio; operated a furniture warehouse in Naperville, Illinois; and leased an omnichannel fulfillment center in West Jefferson, Ohio. The company operated under seven retail nameplates across the United States: Bon-Ton, Carson's, Younkers, Herberger's, Elder-Beerman, Boston Store, and Bergner's.
BON-TON'S BUSINESS MODEL
Value Proposition
Bon-Ton promoted itself as a store that offered "better brands, better savings," and it carried a broad collection of quality goods at favorable prices. Bon-Ton stores provided an assortment of nationally distributed brands of apparel, accessories, footwear, cosmetics, and home furnishings?for example, Anne Klein, Calvin Klein, Jessica Simpson, Kenneth Cole, and Under Armor. It also offered exclusive private brands like Laura Ashley, Ruff Hewn, Relativity, and Studio Works. Bon-Ton's private brands made unique and exclusive fashion products available at compelling price points, contributing to competitive differentiation and customer loyalty. The costs associated with in-house, private brands enabled Bon-Ton to realize a favorable profit margin.
Customer Relationship
The primary target consumers of Bon-Ton were "women between the ages of 25 and 60 with average annual household income of $55,000 to $125,000." The company also targeted a "broader audience" that included men and children.
Bon-Ton focused on excellent customer service in order to develop long-standing relationships with its customers. It provided training programs to build an efficient sales force for customers, and in addition to phone and online support, Bon-Ton had sales associates dedicated to customer sales assistance in selected stores. Many departments had self-service centres for customer convenience. Bon-Ton also implemented a "Let Us Find It" program to assist customers in finding preferred items at other store locations or through the company's omnichannel assortment, which enabled customers to order merchandise for delivery directly to their addresses. Bon-Ton also expanded its order-fulfillment locations to serve omnichannel orders that were directed to store locations. In 2016, Bon-Ton introduced mobile capabilities and provided customers with a "Buy Online Pick Up In-Store" convenience program. To gain customer loyalty, it also had a private-label credit card program, which offered cardholders rewards, including advanced sales notices, discounts, and event invitations.
Vendor Management
Bon-Ton served as a distribution channel that helped merchandise vendors reach their target customers. The company created relationships with vendors by evaluating their sales and profitability and making purchasing decisions based on these analyses. As was prevalent in the industry, Bon-Ton received allowances from some of its vendors when sales did not meet specified margins. It also received support from some vendors in the form of allowances and reimbursements for costs incurred to promote and sell on behalf of the vendors.
Marketing
Bon-Ton engaged customers through a multichannel marketing program that included traditional print media, broadcasting, and digital media. Bon-Ton used localization and personalization strategies in its email and direct marketing to individual customers. Besides advertising and sales promotions, it offered purchase incentives and in-store events such as designer appearances and fashion shows to build a solid customer base. Bon-Ton also tried to connect with people by participating in charitable causes and events.
Inventory Management
Bon-Ton had a centralized planning and allocation team for all its stores; this team included staff who supported regional and local planning and allocation. The company operated a pre-distribution model, "through which we allocate[ed] merchandise on our initial purchase orders to each store. This merchandise [wa]s shipped from our vendors to our distribution facilities for delivery to designated stores." Bon-Ton had a "reactive distribution technique" for stores with high customer demand. The technique leveraged electronic data interchange inventory management technology to effectively move and deliver prelabelled merchandise to individual stores, and it used high-speed automated conveyor systems and hand-held radio frequency devices to track merchandise. Bon-Ton's third-party carriers distributed merchandise to the stores, where most of the merchandise was held. Bon-Ton monitored inventory levels following a seasonal pattern and maintained inventories to support both offline and online sales.
ABOUT THE FOUNDER AND CHIEF EXECUTIVE OFFICER
Max and Samuel Grumbacher started Bon-Ton in 1898 as S.Grumbacher and Son, a one-room store on Market Street in York, Pennsylvania, founded by Max and Samuel Grumbacher. It had come a long way, and now operated in approximately 2.2 million square metres (24 million square feet) in around 260 stores in 24 US states under the different nameplates.
Tim Grumbacher had been involved in the company's management since 1977 and had been the chairman of the board of directors and strategic initiatives officer since June 2013. Kathryn Bufano held positions as president, chief executive officer (CEO), and director. After August 25, 2017, William Tracy, the former chief operating officer, took over the CEO role after Bufano stepped down when her contract ended.Although the firm had posted annual losses under Bufano's tenure, Bon-Ton's press release announcing this change gave no specific reason for Bufano's resignation. Bufano supported Tracy as he moved into the new role, and Tracy stated that he appreciated the board's confidence and support during his transition.
PAST PERFORMANCE
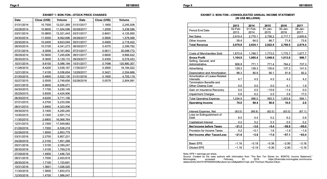
Beginning in 2014, Bon-Ton's downturn was prominent, and this was reflected in the company's share price (see Exhibit 1). Its sales and margin performance were below expectations that year, resulting in a greater net loss than that of the prior year. However, according to Bufano, "It was a year of both challenges and accomplishments." She felt confident in the long-term potential of the company, saying that, while the performance was "disappointing, we believe the progress we made on our strategic initiatives will contribute meaningfully to future profitability and growth."18
In the fall of 2014, the company started a "Voice of the Customer" brand positioning program, supported by the tagline "Your Store. Your Style." According to Bufano, this served "as the embodiment of our customer focus and commitment to delivering localized and relevant fashion across our many channels? our brick-and-mortar stores, website and app." Even after executing customer-centric strategies, Bufano felt that the company had failed to reflect its accomplishments in the financials (see Exhibits 2-4).
In 2016, Bon-Ton realized a "net cost savings of $31 million, which was $7 million above the high end" of the company's target. According to the CEO's statement in the annual report, "2016 was a year of progress for BonTon, despite the ongoing challenges that we faced from the retail environment." The company paid off a $150 million asset-based term loan and $57 million in outstanding principal on its 2017 senior secured notes, which slightly improved its liquidity and overall capital structure. However, the company still ended up with a net loss of $63 million as of January 2017?around $6 million more than that of the previous year (see Exhibit 2).
In 2017, the company continued to meet losses. Sales decreased, and the bottom line plunged (see Exhibits 2-7). In the company's Form 8-K for the first quarter (Q1) of 2017, Bufano stated,Our first quarter results did not meet our expectations due primarily to weak mall traffic trends, unfavorable weather and marketing challenges associated with the Easter calendar shift. That said, our omnichannel business once again generated double digit growth and we continued to expand our merchandise offering with highly recognized brands as well as exclusive and private brands that resonate with our customer.
Bon-Ton planned to focus on its omnichannel strategy and expand its merchandise portfolio to appeal to customers. Internally, Bon-Ton was looking to roll out a profit improvement initiative to achieve additional cost reductions in fiscal 2017.
In Q2 2017, as per Bon-Ton's earnings call, the company was optimistic about sales in several categories, such as fine jewellery, young men's denim, and brands such as Under Armour, Tommy Hilfiger, and Vera Bradley. According to Tracy, the new president and CEO,Our cosmetic business performed ahead of our expectations driven by the strength in the fragrance category. We are also pleased with the continued momentum in our e-commerce business, which saw a double-digit increase during the quarter...
We made great progress on our cost reduction plan as we reduce SG&A [selling, general, and administrative expenses] by $20.7 million in the quarter. Adjusted EBITDA [earnings before interest, taxes, depreciation, and amortization] was $9.1 million, an increase of $6.6 million compared to last year's second quarter. Second quarter 2017 adjusted EBITDA includes $12.1 million in benefit from gift card breakage and gains in our real estate transactions.
Bon-Ton planned to expand its merchandise offerings, "focusing on five core areas" of "gifting, cold weather merchandise, activewear, denim and private and exclusive brands." Bon-Ton planned to launch FAO Schwarz and expand its Discovery Kids product, and its previous success with pantry offerings influenced the company to consider expanding its specialty food business, with national and key local brands.
RESULTS AND OUTLOOK FOR THE YEAR
Bon-Ton's third-quarter report of 2017 indicated that there had been progress on a number of strategic initiatives. The report showed that Bon-Ton did the following:
x Experienced strength in key merchandise categories and brands and drove continued double-digit growth in our omnichannel business (reflecting sales via our website, mobile site and our Let Us Find It customer service program) as compared to the third quarter of 2017; x Continued to effectively execute on a number of profit improvement initiatives, substantially reducing our selling, general and administrative ("SG&A") expense for the quarter; and x Maintained careful inventory controls, as we reduced inventory by 10% as compared to the third quarter of 2016.
At the same time, the company faced continuing challenges. Sales at stores decreased 6.6 per cent because of warm weather and subdued footfall at malls. Revenue realization was less from proprietary credit card operations, miscellaneous revenue departments, and gift-and-merchandise return card breakage. Shifts in the mix of merchandise led to a markdown rate that affected gross margins and was in turn intensified by a decrease in the gross margin. Net interest expense increased from the previous year due to a spike in weighted average interest rate and expanded debt.
The company's cash flow from operations and up to $880 million in borrowings provided a source of working capital. The company had planned capital expenditures; beyond these, its main cash expenses would be for servicing debt and financing during peak selling seasons.Bon-Ton's quarter-wise financial performance in 2017 reflected the challenging situation (see Exhibits 5- 7). The company indicated that it had started evaluating potential strategic alternatives and engaging consultants for financial restructuring.
CHALLENGES
In 2017, many retail players closed their stores and planned for more closures in 2018. Many retailers in the United States filed for bankruptcy in 2017 due to overburdening debt, a decline in footfall, and pressure from competitors. Some of the troubled retailers were Sears, Payless ShoeSource Inc., Abercrombie & Fitch, Toys "R" Us, and Gymboree Group Inc. Amazon.com Inc. (Amazon), Walmart Inc., and Home Depot Inc. were expected to acquire a large amount of the industry's gains. Amazon had been the chief competitor to all the other retail players. Some other department store industry leaders, such as Dillard's Inc., Kohl's Corporation, Nordstrom Inc., Macy's Inc., and J.C. Penney Company Inc. were also facing challenges in the current market condition (see Exhibit 8).
A Forbes report on retail sales for June 2017 provided "a sobering look at the current state of American retail." Although year-on-year total sales were up for the first half of 2017, the estimated figures for May-June 2017 were lower. With some exceptions (electronics; appliance stores; sporting goods; and hobby, book, and music stores) most reporting categories showed monthly declines: "Even non-store retailers . . . reported a 2.8% dip. Overall June retail and food services sales dropped 3.2%" compared to the previous month.
Department store and retail companies were affected by consumers' shifting shopping patterns: from shopping in brick-and-mortar stores to buying through online retail channels and using smart phones and social media. Certainly, Internet shopping had been "replacing the hassles of in-store shopping." Online shopping not only gave consumers "access to more products, often at a cheaper price," but it also saved "huge amounts of time when people need a specific item."Forbes also reported that men were "spending more on clothes. This is an interesting trend, especially now that Walmart has acquired men's clothing retailer Bonobos. Men are paying serious attention to their presentation, both at work to advance their careers and in their personal lives when casual attire is called for."
The US retail industry, which included mass merchandisers, national chain retailers, and specialty retailers, became highly competitive as online retailers emerged and mobile technology and social media expanded. Competition in the industry revolved around "price, quality and selection of merchandise, reputation, store location, advertising and customer service." While Bon-Ton competed with similar department stores and many other retailers "including store-based, mail-order, and internet retailers," many of its competitors were in better shape (see Exhibit 8).Moreover, prevailing economic conditions and various economic factors affected consumers' spending habits, especially with respect to the merchandise that Bon-Ton stores sold. "Reduced consumer traffic in traditional shopping malls," where most of the Bon-Ton stores were located, had caused a decline in the company's financial condition and operating results.
Customer traffic and conversion, both in stores and online, had important effects on sales, and in-store sales were highly dependent on the geographical locations of stores. As demographic patterns changed, many of Bon-Ton's current locations had lost appeal. Financial conditions that affected the operators of some shopping malls where Bon-Ton stores were located had also affected the company's sales. Declining operating performance and a severe liquidity crisis meant that vendors might demand accelerated payments, resulting in "a significant adverse impact" on Bon-Ton's operating cash flow and liquidity. As of January 28, 2017, the company had a total debt of $989.3 million, which included capital lease and financing obligations.
This indebtedness curbed Bon-Ton's ability to "replenish inventory at competitive prices and terms, generate sales, and maintain . . . stores," and price increases for "merchandise, raw materials, fuel and labor or their reduced availability" threatened to increase the company's cost of goods, further damaging its financial results. To generate a online presence, Bon-Ton invested in technology and made operational changes, which increased customer traffic but did not significantly affect the company's bottom line. The "cost to ship merchandise to customers and the competitive pressures to offer free or reduced shipping," as well as the "significant cost to provide and maintain the infrastructure and systems necessary to operate [an] omnichannel business," all led to lower margins.The turnover rate in the retail industry was very high. Bon-Ton faced significant costs?for example, for wages and benefits such as health care?to attract and retain key employees.
Bon-Ton's real estate exposure was significant. The company owned or leased approximately 260 stores. Its store lease agreements included both a fixed rent portion and a variable portion based on the sales percentage at each location. These agreements also prevented stores from closing before the contracts terminated, although some stores that were in economic distress were allowed to close. However, leases and other obligations restricted Bon-Ton's ability to close unprofitable owned or leased stores and forced the company to operate some locations at a loss. Moreover, a decline in real estate values posed a risk to Bon-Ton's borrowing.
ANALYSTS' OPINIONS ABOUT THE COMPANY
Smith also went through some analyst reports. Neil Saunders, a retail analyst of GlobalData (data and insights solution providers), noted that Bon-Ton's offerings were undifferentiated and unclear, and had become increasingly irrelevant to consumers. "Many of Bon-Ton's stores were in areas where the availability of branded fashions and home wares was traditionally poor," Saunders said. "However, while this once made them a focal point and a destination for local shoppers, the internet has done much to change this dynamic and has made the stores less relevant." Another analyst made a similar comment. "Bon-Ton is kind of a microcosm of the department store industry," said Philip Emma, senior analyst for restructuring intelligence firm Debtwire. "Their business model is selling brand-name merchandise that consumers recognize in a mall-based setting?and that's the segment of retail that's had the biggest struggle."
ALTMAN'S Z-SCORE
One of the most popular bankruptcy prediction models was developed by Edward I. Altman in 1968. Altman applied a statistical technique called multivariate analysis to a mix of financial variables to detect the likelihood of solvency in times of distress. Each company was given a score (Z-score) calculated through a discriminant function of the five variables, weighted by coefficients. The model had been revised several times for different contexts (e.g., for private firms). The Z-score model for non-manufacturing firms and for companies in emerging markets outside the United States was introduced in 1995 (see Exhibit 9). The Z-score model excluded industry-sensitive asset-turnover variables from the last revised model, to minimize the industry effect.
CONCLUSION
On February 6, 2018, Bon-Ton announced that the United States Bankruptcy Court for the District of Delaware had approved its voluntary petitions for financial restructuring. With existing losses and significant loans, what actions might put Bon-Ton back on track? What measures could the company take to fight bankruptcy? Smith prepared to analyze these questions from the perspectives of both Bon-Ton and an investor in order to present her findings to the investment company.
FINANCIAL INFORMATION -->
Exhibit 1 & 2:





Page 8 98198005 Page 9 JB198005 EXHIBIT 1: BON-TON-STOCK PRICE CHANGES EXHIBIT 2: BON-TON-CONSOLIDATED ANNUAL INCOME STATEMENT Date Close (US$) Volume Date Close (US$) Volume (IN US$ MILLIONS) 01/31/2014 10.7500 12,021,369 01/31/2017 1.1800 2,245,508 2013 2016 2017 02/28/2014 10 8600 11,554,096 02/28/2017 1.2000 3.238,586 Period End Date 02-Feb- 01-Feb- 1-Jan- 30-Jan- 28-Jan- 03/31/2014 10.9800 13,321,443 03/31/2017 0.8401 4,125,950 2013 2014 2015 2016 2017 04/30/2014 11.0000 8,062,696 04/28/2017 0.5800 1,578,068 Net Sales 2.919.4 2.770.1 2.756.2 2,717.7 2.600.6 05/30/2014 10.2400 9,823,094 05/31/2017 0.4900 2.718,422 Other Income 59.4 54.0 66.7 71.8 73.8 06/30/2014 10.3100 4,341,273 06/30/2017 0.4375 2,399,762 Total Revenue 2,978.8 2,834.1 2,822.9 2,789.5 2,674.4 07/31/2014 9.3000 6,161,942 07/31/2017 0.5611 30,098,772 08/29/2014 10.5600 7,245,606 08/31/2017 0.6600 8,866,622 Costs of Merchandise Sold 1.873.9 1.768.7 1,773.0 1.775.7 1.677.7 09/30/2014 8.3600 5,129,172 09/29/2017 6,578,453 Gross Profit 1,104.9 1,065.4 1,049.9 1,013.8 996. Selling, General, and 10/3 1/2014 8.8100 5,088,194 10/31/2017 0.7498 125,880,307 Administrative 806.8 771.1 771.4 764.2 737.3 11/28/2014 8.4200 3,039,167 11/30/2017 0.3900 19,184,022 Advertising 129.3 128.3 135.6 137.3 141.5 12/31/2014 7.4100 5,036,654 12/29/2017 0.3421 2,354.666 Depreciation and Amortization 38.3 85.9 90.1 91.8 92.2 01/30/2015 5.4800 5,522,130 01/31/2018 0. 1600 4,705,119 Amortization of Lease-Related 02/27/2015 5.5500 2,749,656 02/28/2018 0.0579 2,904,991 Interests 4.5 4.5 4.2 4.2 Termination Benefits and 03/31/2015 5.9600 8,936,071 Other Closing Cost 0.0 0.0 1.9 04/30/2015 7.1700 3,230,145 Gain on Insurance Recovery 0.0 0.0 -1.4 0.0 05/29/2015 5.8500 1,424,906 Impairment Charges 5.8 6.2 2.5 3.6 17.0 06/30/2015 4.6200 5,711,156 Total Operating Expense 1.034.9 996.0 993.3 1.003.8 994.1 07/31/2015 4.3700 5,233,506 Operating Incom 70.0 69.4 56.6 10.0 2.6 08/31/2015 3.9900 4,323,936 09/30/2015 3.1400 4,250,240 Interest Expense, Net (83.0) (68.8) (62.0) (63.0) (67.1) 10/30/2015 3.1500 2,591,712 Loss on Extinguishment of 1 1/30/2015 2.6800 16,068,764 Debt B.4 0.2 6.2 0.8 12/31/2015 2.1000 17,549,682 Capitalized Interest 0.2 0.2 0.3 0.5 0.2 01/29/2016 6,538,218 Net Income before Taxes -21.3 -3.6 -5.4 -58.9 -65.0 1.7000 02/29/2016 .9000 2,853,779 Provision for Income Taxes 0.2 -0.1 1.6 03/31/2016 2.2700 5,857,231 Net Income after Taxes/Loss -21.6 -3.6 -7.0 -57.1 -63.4 04/29/2016 2.3100 1,651,298 05/31/2016 1.5100 2,390,247 Basic EPS -1.16 -0.19 0.36 -3.18 -2.90 06/30/2016 1.4100 1,769,216 Diluted EPS -1.16 -0.19 -0.36 -3.18 07/29/2016 1.4900 1,446,724 Note: EPS = eamings per share. 08/31/2016 1.7000 2,453,819 Source: Created by the case authors with information from "The Bon Ton Stores Inc. BONTQ: Income Statement," Morningstar, accessed February 23, https /financials.momingstar.com/income- 09/30/2016 1.7100 1,153,691 statement/is.html?1=0PQ090goUQ&culture=en-USSplatform=sal; and Thomson Reuters Elkton 10/3 1/2016 .3601 1,026,520 11/30/2016 1.5800 1,843,072 1.4700 1,988,047Page 10 98198005 Page 11 98198005 EXHIBIT 3: BON-TON-CONSOLIDATED ANNUAL BALANCE SHEET (IN US$ MILLIONS) EXHIBIT 3 (CONTINUED) 2013 2014 2015 2016 2017 2013 2014 2015 2016 2017 Period End Date 02-Feb- 01-Feb- 31-Jan- 30-Jan- 28-Jan- Total Current Liabilities 192.7 413.3 406.5 344.1 368.8 2013 2014 2015 2016 2017 Assets Long-Term Debt, Less Current Maturities 768.9 804.4 851.0 856.0 848.8 Current Assets Cash and Cash Equivalents 7.9 7.1 8.8 6.9 Long-Term Finance Lease and Hire 6.7 Purchase Agreement 52.5 19.0 45.0 126.7 133.9 Merchandise Inventories '58.4 709.7 735.0 711.7 724.5 Other Receivable 6.0 19.6 59.7 60.5 68.3 Total Long-Term Debt 821.3 853.3 396.0 382.7 982 6 Prepaid Expenses 34.6 36.7 33.7 36.7 30.3 Employee Defined Benefit Plans 83.6 51.5 0.0 0.0 0.0 Total Current Assets 836.9 793.1 837.1 815.8 829.7 Other Long-Term Liabilities, Other 126.0 131.1 193.9 179.1 166.0 Fixed Assets Land and Improvements 118.4 118.4 120.7 17.5 77.5 Deferred Income Taxes 0.0 0.0 3.7 9.8 10.4 Buildings 690.3 714.4 720.3 677.0 673.8 Total Liabilities 1,523.6 1,449.3 1,505.1 1,515.7 1,527.8 Furniture and Equipment 579.4 610.2 650.9 683. 693.8 Shareholders' Equity Capital Lease 69.3 62.1 60.5 148.8 164.1 Common Stock 0.19 0.19 0.18 0.19 0.19 Accumulated Depreciation and -804.6 -865.1 -910.5 -951.8 -1,024.4 Treasury Stock -1.4 -1. -1.4 -1.4 -1.4 Amortization Additional Paid-In Capital 158.7 160.8 161.4 164.4 166.9 Deferred Taxes 15.0 15.8 0.0 0_0 Accumulated Other Comprehensive Lease-Related Interests 94.6 91.3 81.2 73.0 70.5 Loss -73.2 -50.4 -80.4 -76.1 -72.9 Customer Lists and Relationships 22.9 22.9 22.9 2 6 22 6 Accumulated Deficit 26.3 18.8 7.9 -52.2 -115.6 Accumulated Amortization and Other Total Equity 110.6 128.0 87.6 34.9 -22.8 Intangibles -57.6 -62.1 -64.4 -62 2 -65.7 Total Liabilities and Shareholders' Other Long-Term Assets 18.9 25.6 23.5 17.4 17.4 Equity 1,634.2 1,577.2 1,592.7 1,550.6 1,505.1 Trade Name, Net 40.3 10.3 10.2 38.4 36.0 Source: Created by the case authors with information from "The Bon-Ton Stores Inc. BONTO: Balance Sheet," Momingstar. Brands/Patents, Net 10.4 10.3 10.3 10.3 9.7 accessed February 23, 2018, http:/financials.morningstar.com/balance-sheet/bs.html?=BONTO®ion=usa&culturemen- US&platform=sal; and Thomson Reuters Eikon. Total Assets 1,634.2 1,577.2 1,592.7 1,550.6 1,505.1 Liabilities Current Liabilities Accounts Payable 193.9 200.5 208.9 162.8 185.9 Other Accrued Expenses 130.5 119.7 77.0 69.2 69.7 Accrued Payroll and Benefits 32.4 28.3 28.8 28.5 25.8 Current Maturities of Long-Term Debt 75.9 7.4 6.8 0.0 0.0 Current Maturities of Capital Lease 3.9 3.8 4.0 5.4 6.7 Deferred Taxes 20.3 22.7 0.0 0.0 0.0 Income Taxes Payable 35.7 30.9 35.1 32.8 34.5 Customer Liabilities 0.0 0.0 46.0 45.4 46.3EXHIBIT 4: BON-TON-CONSOLIDATED ANNUAL CASH FLOW STATEMENT (IN US$ MILLIONS) EXHIBIT 5: BON-TON-CONSOLIDATED QUARTERLY INCOME STATEMENT (IN US$ MILLIONS, EXCEPT PER-SHARE DATA] Fiscal year ends in January, 2015-01 2016-01 2017-01 Fiscal year ends in January. 2017-04 2017-07 2017-10 Cash Flows from Operating Activities Revenue 553 525 Depreciation and Amortization 90 92 Cost of Revenue 354 325 365 Amortization of Debt Discount/Premium and Issuance Costs 7 7 9 Gross Profit 189 200 197 InvestmentAsset Impairment Charges 2 4 17 Operating Expenses Deferred Income Taxes 2 -2 -2 Sales, General, and Administrative 205 191 203 Stock Based Compensation 3 3 Other Operating Expenses 23 21 Inventory -25 -13 Total Operating Expenses 228 215 123 Prepaid Expenses -17 A -1 Operating Income -39 -15 -76 Accounts Payable -16 21 Other Income (Expense) -19 -18 -19 Accrued Liabilities -7 1 Income before Income Taxes -57 -33 -45 Income Taxes Payable Provision for Income Taxes Other Working Capital -20 -15 -12 Net Income from Continuing Operations -57 -33 -45 Other Non-Cash Items -B -47 -57 Net Income -57 -33 -45 Net Cash Provided by Operating Activities 47 18 59 Net Income Available to Common Shareholders -57 -33 -45 Cash Flows from Investing Activities Investments in Property, Plant, and Equipment -55 Source: Excerpted from "The Bon-Ton Stores Inc. DONTQ: Income Statement," Morningstar, accessed February 20, 2018, httpsonfinancials. momingstar.comincome-statements.him/7=0POD00DOUD4 culture=an-LIS&platform=sal Property, Plant, and Equipment Reductions 0 Other Investing Charges 2 Net Cash Used for Investing Activities 2 -58 Cash Flows from Financing Activities Short-Term Borrowing 4 -10 2 Long-Term Debt Issued 770 309 77 Long-Term Debt Repayment -728 -915 -778 Cash Dividends Paid -4 -4 Other Financing Activities -2 -1 -6 Net Cash Provided by (Used for) Financing Activities 40 -72 -5 Net Change in Cash 2 -2 Cash at Beginning of Period 7 9 7 Cash at End of Period 7 7 Free Cash Flow Operating Cash Flow 47 Capital Expenditure -91 -55 Free Cash Flow -44 -67Page 14 98198005 Page 15 98198005 EXHIBIT 6: BON-TON-CONSOLIDATED QUARTERLY BALANCE SHEET (IN US$ MILLIONS) EXHIBIT 7: BON-TON-CONSOLIDATED QUARTERLY CASH FLOW STATEMENT (IN US$ MILLIONS) Fiscal year ends in January. 2017-04 2017-07 2017-10 Assets Fiscal year ends in January. 2017-04 2017-07 2017-10 Current Assets Cash Cash Flows from Operating Activities Cash and Cash Equivalents 7 6 Depreciation and Amortization 22 23 20 Total Cash 6 Amortization Of Debt Discount/Premium and Issuance Costs 3 2 2 Receivables 59 Inventories 852 Investment/Asset Impairment Charges 714 658 Prepaid Expenses 83 83 43 Deferred Income Taxes 0 0 Total Current Assets 804 747 961 Stock Based Compensation -1 Non-Current Assets Inventory 11 56 -193 Property, Plant, and Equipment Land Prepaid Expenses 16 0 -19 Fixtures and Equipment Accounts Payable -29 22 54 Other Properties 1.616 1,596 .585 Accrued Liabilities 4 -16 Property and Equipment, at Cost 1.616 1,596 1,585 -1,049 -1,056 Other Working Capital -3 -7 Accumulated Depreciation 1.046 Property, Plant, and Equipment, Net 571 547 529 Other Non-Cash Items -55 -37 -44 Intangible Assets 72 70 69 Net Cash Provided by Operating Activities -31 42 -172 Other Long-Term Assets 22 28 Total Non-Current Assets 665 22 639 626 Cash Flows from Investing Activities Total Assets 1.468 1,387 1.587 Investments in Property, Plant, and Equipment -10 -11 -14 Liabilities and Stockholders' Equity Property, Plant, and Equipment Reductions 0 21 19 Liabilities Net Cash Used for Investing Activities -10 10 4 Current Liabilities Short-Term Debt 665 Cash Flows from Financing Activities Capital Leases 7 7 Long-Term Debt Issued 170 106 281 Accounts Payable 161 178 248 Long-Term Debt Repayment -122 -157 -108 Taxes Payable Other Financing Activities -7 -2 -5 Accrued Liabilities 179 137 149 Other Current Liabiliti 26 22 Net Cash Provided by (Used for) Financing Activities 41 -53 168 Total Current Liabilities 346 348 1,091 Net Change in Cash 0 Non-Current Liabilities Cash at Beginning of Period 7 -1 7 6 Long-Term Debt 895 849 345 Cash at End of Period 7 6 7 Capital Leases 132 130 129 Other Long-Term Liabilities 174 170 177 Free Cash Flow Total Non-Current Liabilities 1,201 1,150 651 Operating Cash Flow -31 42 -172 Total Liabilities 1.547 1,498 1,743 Capital Expenditure -10 -11 -14 Stockholders Equity Common Stock 0 0 Free Cash Flow -41 31 -186 Additional Paid-In Capital 168 168 167 Retained Earnings -173 -207 -252 Source: Excerpted from "The Bon-Ton Stores Inc. Cash Flow Statement," Morningstar, accessed February 23, 2018. http://financials.morningstar.com/cash-flowof.html?t=BONTO®ion=usa&culturemen-US&platform=sal. Treasury Stock -1 -1 -1 Accumulated Other Comprehensive Income -72 -71 -71 Total Stockholders' Equity -79 -111 -156 Total Liabilities and Stockholders' Equity 1.468 1,387 1,587 Source: Excerpted from "The Bon-Ton Stores Inc. BONTQ: Balance Sheet," Morningstar, accessed February 23, 2018, http:/financials.momingstar.combalance-sheet/bs.html71=BONTOSregion=usa&culture=en-US$platform=sal.EXHIBIT 8: COMPETITOR COMPANY DATA (IN US$ MILLIONS, FOR FISCAL YEAR ENDING DECEMBER 2016 / JANUARY 2017) Company Dillard's KOHL'S Macy's Nordstrom Inc. Corp. Inc. Inc. Amazon Inventory 1,375 4.038 5,506 1,945 11,461 Current Assets 1,669 5,076 7,652 3,014 45,781 Total Assets 3.866 13,606 20.576 7,698 83,420 Current Liability 751 2,714 5,728 2,911 43,816 Total Liability 2.070 8,115 16,326 6 827 64,117 Revenue 6,755 19.204 27.079 14.437 135,987 Gross Profit 2.404 6,939 10,583 5,269 65,932 Operating Profit 457 1,553 2,039 1,101 4,186 Net Profit 269 673 1,072 600 2,371 Source: Created by the case authors with information from "Dillard's Inc. DOS: Income Statement," Momingstar, accessed March 20. 2018, https:/financials.morningstar.com/income statementis.html71=0P000001085culture=en-US&platform=sal; "Kohl's Corp KKS: Income Statement," Momingstar, accessed March 20, 2018, https //financials.momingstar.comincome statementis.html?t-OP0000035Z&culture=en-US&platform=sal; "Macy's Inc. M: Income Statement," Momingstar, accessed March 20, 2018, https:/financials.morningstar.comincome-statementis.html?t=OP00000246& culture=en-US&platform=sal; "Nordstrom Inc. JWN: Income Statement," Momingstar, accessed March 20, 2018, https //financials.momingstar.com/income- statement/is.html71=0P000003XP&culturemen-US&platform=sal; "Amazon.com Inc. AMZN: Income Statement," Momingstar, US&platform=sal. accessed March 20, 2010, https:/financials.morningstar.com/income-statementis.him/71=0P00000087&culture=en- EXHIBIT 9: Z-SCORE FORMULA FOR NON-MANUFACTURING FIRMS X1 = (Current Assets - Current Liabilities) + Total Assets X = Retained Earnings + Total Assets X, = Earnings before Interest and Taxes + Total Assets X4 = Book Value of Equity + Total Liabilities Z-Score Bankruptcy Model: Z = 6.56(X1) + 3.26(X2) + 6.72(X3) + 1.05(Xq) Zones of Discrimination: 2 > 2.9 = Safe Zone; 1.23
Step by Step Solution
There are 3 Steps involved in it
Get step-by-step solutions from verified subject matter experts
