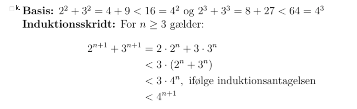
Question: This question is about proving that 2 + 3 2. Which of the following options constitute valid proofs by induction? a. Basis: 22 + 32




This question is about proving that 2" + 3" 2. Which of the following options constitute valid proofs by induction? a. Basis: 22 + 32 = 4+9 2 glder: 2n+1 + 31+1 3 glder: 2n+1 + 3n+1 3 glder: 2" + 3" 2 glder: 2" + 3" 3 glder: 2n-1 + 3n-1 2 glder: 1 2" + 3" 2n+1 + 3n+1 1 2 1 3 (2n+1 + 3n+1) 1 3 glder: 2n+1 + 3n+1 = 4:21-1+9.3"-1 2 glder: +9:3n-1 2n+1 + 3n+1 = 4.2n-1 2 glder: 2n+1 + 3n+1 = 2 2" +3.3" 2 glder: 2" + 3" 3 glder: 2n+1 + 3n+1 = 2.2" + 3 3"
Step by Step Solution
There are 3 Steps involved in it
Get step-by-step solutions from verified subject matter experts
