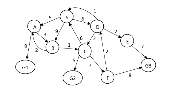
Question: This question refers to Uniform Cost Search algorithm, S is the start satet and G 1 , G 2 , and G 3 are the
This question refers to Uniform Cost Search algorithm, S is the start satet and G G and G are the goal states. Lastly, clearly indicate the path cost from the start node to the goal node and the path taken within the solution tree.
For Step : I get this answer however Im confused about how NEW comes into this situation since they are not in the picture above. Also as to how the sorted list get numbered. Can somebody help me understand this part?
Expand node S:
Connections from S: N E W
Sorted list: N E W
Solution state space: S N E W
Step :
Expand node N:
Connections from N: G G
Sorted list: E W G G
Solution state space: S N E W G G
Step :
Expand node E:
Connections from E: G
Sorted list: W G G
Solution state space: S N E W G G
Step :
Expand node W:
Connections from W: G
Sorted list: G G G
Solution state space: S N E W G G G
Step :
Expand node G:
Goal node G is reached.
Step by Step Solution
There are 3 Steps involved in it
1 Expert Approved Answer
Step: 1 Unlock
Question Has Been Solved by an Expert!
Get step-by-step solutions from verified subject matter experts
Step: 2 Unlock
Step: 3 Unlock
