Question: To use the wage-bracket method for Manual Payroll Systems With Forms W-4 From 2020 or Later using Standard Withholding, follow the steps illustrated below. step

![pay Adriente Huft ia married filing joirthy (MF)]. She is peid wee](https://s3.amazonaws.com/si.experts.images/answers/2024/08/66c7e328d8cbf_84866c7e328774e8.jpg)



![fats bot leas than xt stcp] Fellow the line for the nage](https://s3.amazonaws.com/si.experts.images/answers/2024/08/66c7e32b5c1ac_85166c7e32b03801.jpg)



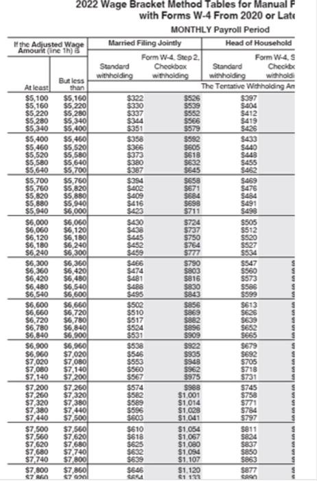
To use the wage-bracket method for Manual Payroll Systems With Forms W-4 From 2020 or Later using Standard Withholding, follow the steps illustrated below. step 1 Select the withhoiding table that acplies to the employec's pay Adriente Huft ia married filing joirthy (MF)]. She is peid wee period. at a rate of stis. step 2 Ancate the wage bracket (the first two columne of the table) in which the employee's gross wages fall. Locate the apprepriate nage beacket (see figure 4,7). At leait fats bot leas than xt stcp] Fellow the line for the nage bracket across to the right to the Move acress the line to the colums shawing Married Fing column showing the apprepriate fiing status whith standard withholding. withold this amount of tax. Jointiy, Standard withheiding. Ernesto Enterprises uses the wage-bracket method to determine federal income tax withholding on its employees. Find the amount to withhold from the wages paid to each employee. If an amount is zero, enter " 0 ". Enter all amounts as positive numbers. As we go to press, the federal income tax rates for 2023 are being determined by budget talks in Washington, and are not available for publication. For this edition, the 2022 federal income tax tables for Manual Systems with Forms W-4 from 2020 or Later with Standard Withholding and 2022 FICA rates have been used. Click here to access the Wage-Bracket Method Tables. 2022 Wage Bracket Method Tables for Manual Payroll Systems with Forms W-4 From 2020 or Later PAYROLL PERIOD wrxkay Paynol Pened with Forms W-4 From 2020 or Late WEEKLY Payroll Period 2022 Wage Bracket Method Tables for Manual F with Forms W-4 From 2020 or Lat BIWEEKLY Payroll Period 2022 Wage Bracket Method Tables for Manual F with Forms W-4 From 2020 or Lat SEMMONTHLY Payroll Period 2022 Wage Bracket Method Tables for Manual F with Forms W-4 From 2020 or Lat MONTHLY Payroll Period TABLE OF ALLOWANCE VALUES FOR PERCENTAGE METHOD TABLES FOR MANUAL PAYROLL SYSTEMS WITH FORMS W-4 FROM 2019 OR EARLIER
Step by Step Solution
There are 3 Steps involved in it
Get step-by-step solutions from verified subject matter experts
