Question: Topic: Chapter 4 (if and if / else if) Write a C++ program to solve for the real roots of quadratic equations. Submit the CPP
Topic: Chapter 4 (if and if / else if)
Write a C++ program to solve for the real roots of quadratic equations.
Submit the CPP file in Canvas
Quadratic equation:
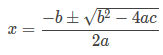
| For the equation ax2 + bx + c = 0, we can have 0, 1, 2 for the root x. Only real root is considered. |
The discriminant value is b 4 a c
There are 3 possibilities:
* b 4ac > 0: there are 2 distinct roots

* b 4ac == 0: there is only one root
x = -b / 2a
* b 4ac
Computers do not understand concept of imaginary numbers.
See these links:
http://www.purplemath.com/modules/quadform3.htm#top
http://www.math.com/students/calculators/source/quadratic.htm
Requirements:
-Programs asks user to enter value of a b c on a single line separated by spaces. The value of a, b, c are floating-point numbers that may have decimal fractions.
- Print a user-friendly message if a coefficient value is 0 and do not perform any calculation:
Coefficient a cannot be 0.
-The results should have exactly 4 digits after the decimal point.
Sample run







- 6 62 - 4ac 2a This program solves a quadratic equation. Enter the coefficient a b c in this order separated by spaces: 5 3 2 There is no real root. Process returned 0 (0x0) Press any key to continue. execution time : 5.396 s This program solves a quadratic equation. Enter the coefficient a b c in this order separated by spaces: 2 8 1 There are two roots: -0.1292 and -3.8708 Process returned 0 (0x0)_ Press any key to continue. execution time : 5.132 si This program solves a quadratic equation. Enter the coefficient a b c in this order separated by spaces: 3 10 2 There are two roots: -0.2137 and -3.1196 Process returned 0 (0x0)_ Press any key to continue. execution time : 8.855 s This program solves a quadratic equation. Enter the coefficient a b c in this order separated by spaces: 1 2 1 There is one root: -1.0000 Process returned 0 (0x0)_ Press any key to continue. execution time : 3.494 si This program solves a quadratic equation. Enter the coefficient a b c in this order separated by spaces: 1.1 2.2 1.1 There is one root: -1.0000 Process returned 0 (0x0) Press any key to continue. execution time : 4.673 s This program solves a quadratic equation. Enter the coefficient a b c in this order separated by spaces: 2.4 2 There is one root: -1.0000 Process returned 0 (Ox0)_ Press any key to continue. execution time : 2.889 s This program solves a quadratic equation. Enter the coefficient a b c in this order separated by spaces: 012 Coefficient a cannot be 0 Process returned 1 (0x1)_ execution time : 5.674 s Press any key to continue
Step by Step Solution
There are 3 Steps involved in it
Get step-by-step solutions from verified subject matter experts
