Question: Topic: Tangent Line and Applying Derivative of a function Answer the activity 3 and show complete solution just like the example . I will provide
Topic: Tangent Line and Applying Derivative of a function
Answer the activity 3 and show complete solution just like the example. I will provide the key answer or answer. Pls show the complete solution in order for me to know how should it be done.






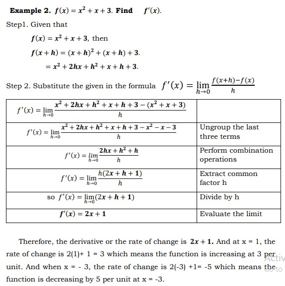
Problem 2. Given /(x) = v1-2x . What is /(x)? This function involves a radical expression but shall be treated similarly to the other problems. Follow the steps in the examples: Given function /(x) = VI-25 Determine /(r+ h) /(xth) = ,/1-2(x+h) Determine /(r+ h) - 1-2(x+hi-1-2x /(x) f(x) = lim h Substitute in the formula (x) = lim. v1 -2(x + h) - v1 - 2x Multiply the right side with the conjugate = Im 1- 2(x+ h) - v1-2x v1-2(r+ h) + v1-2x h Use the product of the (1-2(1+h)) -(,/1-2(x)) sum and difference of two Him terms h( 1-2(x + h) + v1 - 2x) Simplify the numerator 1-2(r+h) - (1-2x] lim h-0 h(1-2(x+ 4) + v1-2) 1-2x-20 -1+2x "-h(1-2(x+ h)+ vi-2x -2k Him he h(1 -2(x+ 4) + v1-r Divide by h -2 Jim (1- 2(x + h) + VI-2x) Evaluate the limit as h -2 approaches 0 () =1 2r+ v1-2x Combine the f(x) = - -2 denominator 2V1 - 2x Derivative of the function f(x) = - VI- TY The function is not differentiable at x = \\ because /(1/2) = =Activity 3 Find Your Rate at this Moment The next task will push you to performance at a higher level as you find the derivative of the functions. Differentiate the following functions and determine the slopes of the tangent lines at the given values of x. function At derivative Slope of tangent 1. f(x) = (2x - 1)2 x = 1/2 2. f(x) = x-4 3. f (x) = - X=0 *2x-1 4. f (x) = V2- x X = - 2 5. f(x) = vx -5Example 1. HI) = 5x+ 3. Find fix). Step1. Given that x) = 5x + 3, then, x + h) = 5(x + h) + 3. Step 2. Substitute the given in the formula f(x)l=i fr (it) = lim 59' + h) + 3 {5x + 3) Substitute in the formula I [x)_ _ lim 5:: + 5!: + h 5x 3 Ungroup the terms by performing the operations mf(x+h]f(x) 1\" Combine like terms f-{x} lim hm it so PEI) = if\"? Divide by h Therefore, the derivative of the function or the rate of change is 5 per unit at all values of x in the domain of the function. \fExample 2. f(x) = x3 + x+ 3. Find f'(x). Step1. Given that f(x) = x+x+3, then f ( x + h) = (x + h)? + (x+ h)+3. =x+2hx+h2+x+h+3. Step 2. Substitute the given in the formula f'(x) = lim f(xth)-f(x) h-0 h x' + 2hx+h2+x+h+3 -(x2+ x+3) f'(x) = lim h+0 h x'+ 2hx+h-+x+h+3-x-x-3 Ungroup the last f'(x) = lim h-0 h three terms 2hx +h-+ h Perform combination f'(x) = lim h-0 h operations h(2x + h+1) f'(x) = lim Extract common h+0 h factor h Divide by h h-0 so f'(x) = lim(2x + h +1) f'(x) = 2x +1 Evaluate the limit Therefore, the derivative or the rate of change is 2x + 1. And at x = 1, the rate of change is 2(1)+ 1 = 3 which means the function is increasing at 3 per unit. And when x = - 3, the rate of change is 2(-3) +1= -5 which means the function is decreasing by 5 per unit at x = -3.Problem 1. Given /(x) = . What is /(x)? Follow the steps in the examples: Given function Determine /(x + h) f(x + h) = = Determine /(r + h) - /(x) 1 xth-4 x-4 Get the difference of the fractions. Find the LCD (x+h-4(1-4) Simplify the numerator X-1-I-K+4 -h = Substitute in the formula F() = lim f(r + h) - [(x) h -h /(x) = lim Divide by h -1 f(x) = lim= Evaluate the limit as h -1 approaches 0 (x - 4)(x- 4) The derivative f() = The function is not differentiable at x - 4 because (4) = = which is undefined
Step by Step Solution
There are 3 Steps involved in it
Get step-by-step solutions from verified subject matter experts
