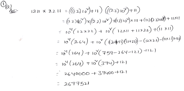
Question: Trace the fast divide and conquer integer multiplication method discussed in class (and in Brassard and Bratley) on the following example: 2211 is multiplied by
Trace the fast divide and conquer integer multiplication method discussed in class (and in Brassard and Bratley) on the following example: 2211 is multiplied by 1221.
(I am attached a sample process to do ! please dont do in your ways.,, this is the procedure i need ...and thats only example dont do mistakes!)

a) lSV12X21) 10"(IL ' .tilx22).ti )
Step by Step Solution
There are 3 Steps involved in it
Get step-by-step solutions from verified subject matter experts
