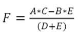
Question: Translate the high level language code below into assembly instructions. The variables A, B, C, D, E and F are located in the memory. Try
Translate the high level language code below into assembly instructions. The variables A, B, C, D, E and F are located in the memory. Try to minimize the number of instructions in the assembly code that you write.

a) Write the code for a stack architecture. Assume that the division division (subtraction) operation divides (subtracts) the topmost value in the stack by the second topmost value. ASSUME BOTH THE DATA AND THE OPERATIONS ARE PUSHED ON THE STACK instead of only the data.
A*C-B*E F = (D+E)
Step by Step Solution
There are 3 Steps involved in it
Get step-by-step solutions from verified subject matter experts
