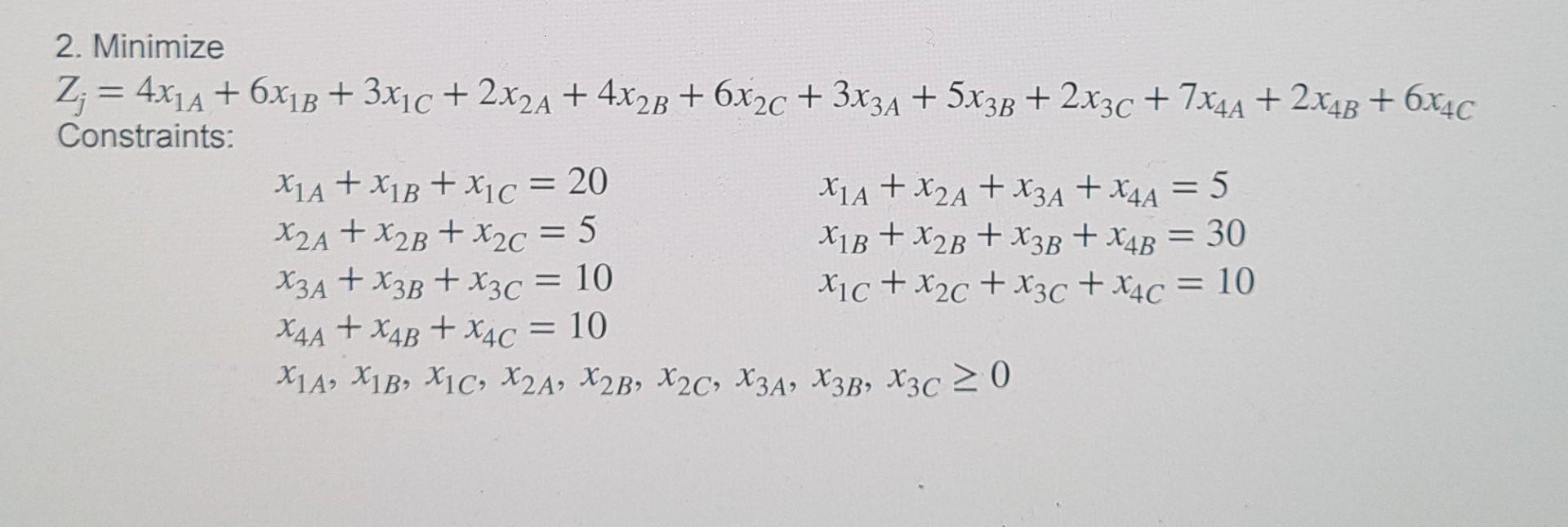
Question: Transportation -answer using the vogels approximation method - = 2. Minimize Z; = 4x1a + 6x1B + 3x1c + 2x2A + 4x2b + 6x2c +

Transportation -answer using the vogels approximation method
- = 2. Minimize Z; = 4x1a + 6x1B + 3x1c + 2x2A + 4x2b + 6x2c + 3x3A + 5x3B + 2x3c + 7x4A + 2X4B + 6x4c + + Constraints: X1A + x1 + x1c = 20 XIA + X2A + x3 + x44 = 5 X2A + X2B + x2c = 5 X1B + x2 + x3 + x4B = 30 X3A + x3B + x3c = 10 Xic + x2c + x3c + x4c = 10 + X4A + X4B + x4c = 10 + + X1A, X18, X1C, X2A, X2B, X20, X3A, X3B, X3c 20 = =Step by Step Solution
There are 3 Steps involved in it
1 Expert Approved Answer
Step: 1 Unlock
Question Has Been Solved by an Expert!
Get step-by-step solutions from verified subject matter experts
Step: 2 Unlock
Step: 3 Unlock
