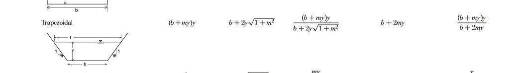
Question: Trapezoidal , ( b + m y ) y , b + 2 y 1 + m 2 2 , ( b + m y
Trapezoidal
Step by Step Solution
There are 3 Steps involved in it
1 Expert Approved Answer
Step: 1 Unlock
Question Has Been Solved by an Expert!
Get step-by-step solutions from verified subject matter experts
Step: 2 Unlock
Step: 3 Unlock
