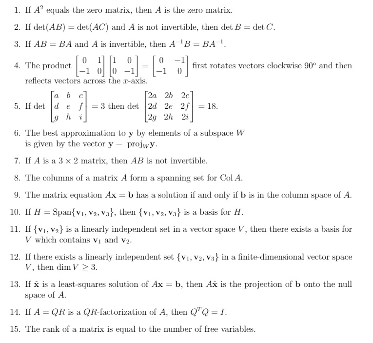
Question: true or false 1. If A' equals the zero matrix, then A is the zero matrix. 2. If det(AB) = det(AC) and A is not
true or false

Step by Step Solution
There are 3 Steps involved in it
1 Expert Approved Answer
Step: 1 Unlock
Question Has Been Solved by an Expert!
Get step-by-step solutions from verified subject matter experts
Step: 2 Unlock
Step: 3 Unlock
