Question: Two C capacitors are connected in series to a V voltage battery as shown in the figure (picture 3). In one of the capacitors a
Two C capacitors are connected in series to a V voltage battery as shown in the figure (picture 3). In one of the capacitors a dielectric constant block ? is inserted, filling all the space between its plates.
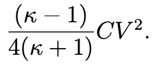
a) Show that the change in total stored energy is (picture 1)



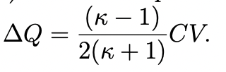
K CV2 A(K+1K - AQ CV. 2(k + 1+ C V 1.HI C K
Step by Step Solution
There are 3 Steps involved in it
1 Expert Approved Answer
Step: 1 Unlock
Question Has Been Solved by an Expert!
Get step-by-step solutions from verified subject matter experts
Step: 2 Unlock
Step: 3 Unlock
