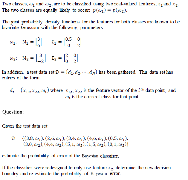
Question: Two classes, w1 and w2, are to be classified using two real-valued features, x1 and x2. The two classes are equally likely to occur: p(w1)
Two classes, w1 and w2, are to be classified using two real-valued features, x1 and x2. The two classes are equally likely to occur: p(w1) = p(w2).
The joint probability density functions for the features for both classes are known to be bivariate Gaussian with the following parameters:
w1: M1 = [36] ?1 = [0.5002]
w2: M2 = [3(-2)] ?2 = [2002]
In addition, a test data set D = {d1, d2, ?, d?} has been gathered. This data set has entries of the form:
d? = (x1,?, x2,?; ?; w?) where x1,?, x2,? is the feature vector of the ??? data point, and w? is the correct class for that point.
Question:
Given the test data set
D = {(3,8; w1), (2,6; w1), (3,4; w1), (4,6; w1), (0,5; w1),
(3,0;w2), (4,4; w2), (5,1; w2), (1,5; w2), (0,1;w2)}
estimate the probability of error of the Bayesian classifier.
If the classifier were redesigned to only use feature x2, determine the new Bayesian decision boundary and re-estimate the probability of error.

Two classes, wj and w2, are to be classified using two real-valued features, x, and X2- The two classes are equally likely to occur: p(w1) = p(w2). The joint probability density functions for the features for both classes are known to be bivariate Gaussian with the following parameters: w 1 : My (2: Mz = [ 32] =2 - 1 2 In addition, a test data set D = {dj, d2, ... . dy} has been gathered. This data set has entries of the form: di = (x1 X21:0;) where X1i, X2; is the feature vector of the ith data point, and w; is the correct class for that point. Question: Given the test data set D = {(3,8; w1), (2,6; wj). (3,4; wj), (4,6; w] ). (0,5; w]), (3,0; W2), (4,4; w2), (5,1; w2), (1,5; w2), (0,1; w2)} estimate the probability of error of the Bayesian classifier. If the classifier were redesigned to only use feature x2, determine the new decision boundry and re-estimate the probability of Bayesian error
Step by Step Solution
There are 3 Steps involved in it
Get step-by-step solutions from verified subject matter experts
