Question: Two-Step Equations With Integers Solve each equation. 1) 5 +4=5 10 2) +5=3 3) 3p-2=-29 4) 1-r=-5 k - 10 5) =-7 6) n -










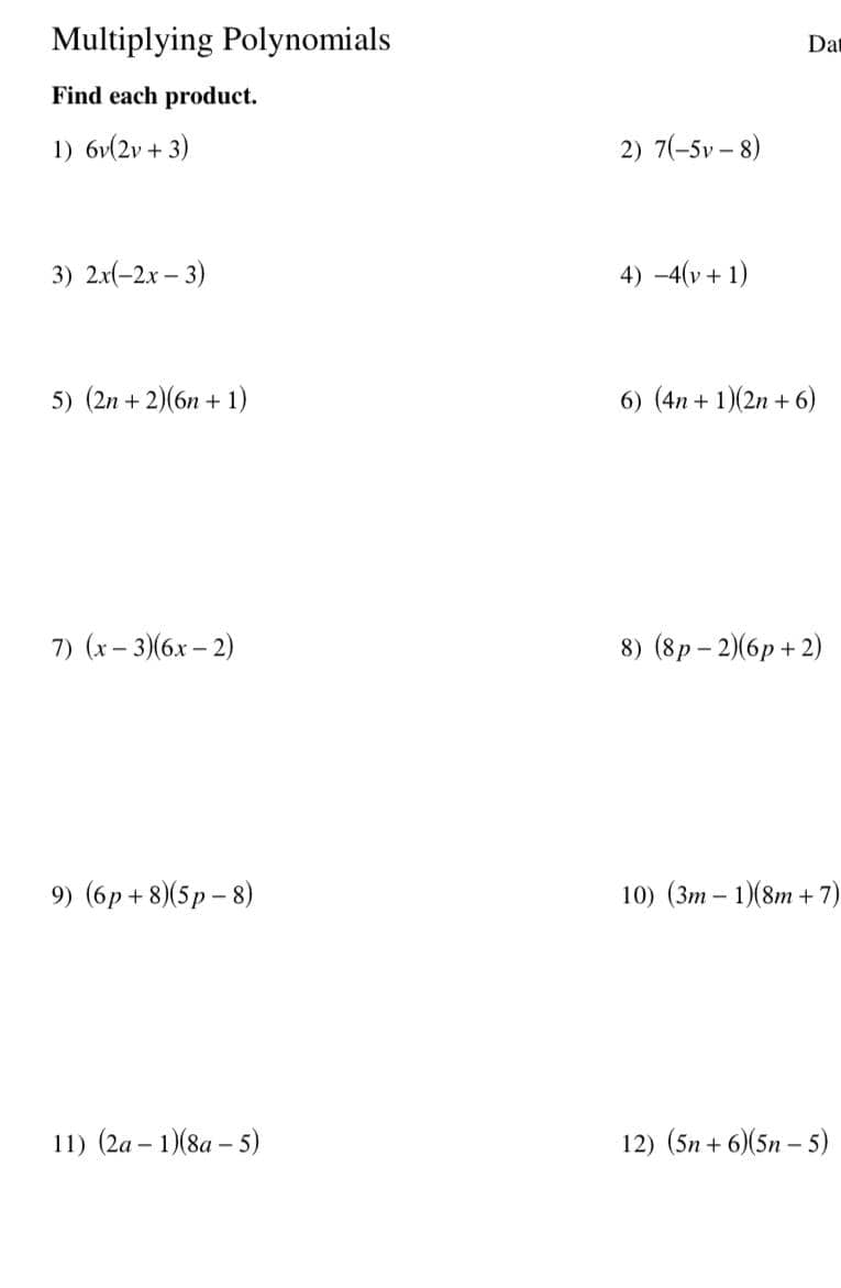
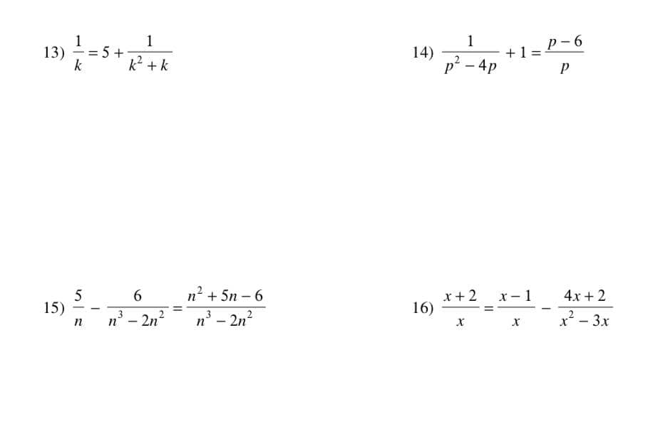
Two-Step Equations With Integers Solve each equation. 1) 5 +4=5 10 2) +5=3 3) 3p-2=-29 4) 1-r=-5 k - 10 5) =-7 6) n - 5 = 5 2 2 7) -9+ -=-7 9+ m 4 8) = 2 3 -5+x 9) 10) 4n -9=-9 =-1 22 x+9 11) -=3 -12 + x 2 12) =-3 11 4+ x 13) -=6 14) -5+= = 0 2\f\fMultiplying Polynomials Da Find each product. 1) 6v(2v + 3) 2) 7(-5v -8) 3) 2x(-2x - 3) 4) -4(v + 1) 5) (2n + 2)(6n + 1) 6) (4n + 1)(2n + 6) 7) (x - 3)(6x - 2) 8) (8p -2)(6p + 2) 9) (6p + 8)(5p -8) 10) (3m - 1)(8m + 7) 11) (2a - 1)(8a - 5) 12) (5n + 6)(5n - 5)\fDividing Polynomials Date Divide. 1) (m2 - 7m - 11) : (m - 8) 2) (n2 - n -29) = (n -6) 3) (n2 + 10n + 18) : (n+5) 4) (k2 - 7k + 10) = (k- 1) 5) (n2 - 3n - 21) = (n -7) 6) (a2 - 28) + (a-5) 7) (72 + 14r+ 38) + (r+8) 8) (x2 + 5x + 3) = (x+6) 9) (2x2 - 17x - 38) : (2x + 3) 10) (42x2 - 33) + (7x +7) 11) ( x2 - 74 ) + (x - 8) 12) (2p2 + 7p-39) + (2p-7) 13) (n' + 7n2 + 14n + 3) = (1+ 2) 14) (p' - 10p2 + 20p + 26) = (p-5) 15) (v3 - 2v2 - 14v- 5) + (v + 3) 16) (x3 - 13x2 + 40x + 18) + (x -7) 17) (k3 - 30k - 18 - 4k2) + (3 + k) 18 ) (-5k2 + k3 + 8k + 4) + (-1+k) 19) (x3+ 5x2 - 32x-7) + (x-4) 20) (50k3 + 10k2 - 35k - 7) + (5k - 4)Solving Rational Equations 2 Date Solve each equation. Remember to check for extraneous solutions. 1) k+4 k-1 k+4 + 4 2) 4 4k 2m m 3) n-n-6 2n+12 n -6 4) 3x-+ 24x + 48 x-6 1 + n 2n 2x2 k2 + 2k - 8 1 5) 1 W / 3k3 3/2 12 6) = 3k k\f\fSolving Quadratic Equations by Factoring Date Solve each equation by factoring. 1) (k+l)(kS)=0 2) (a+1)(a+2)=0 3) (4k+5)(k+l)=0 4) (2m+3)(4m+3)=o 5) ,r211x+19=5 6) n1+7n+15=5 7) n.310n+22=2 3) "2+3n12=6 9) Gal18n13=6 10) 7r2_14r=_7
Step by Step Solution
There are 3 Steps involved in it
Get step-by-step solutions from verified subject matter experts
