Question: Understand basic algebraic concepts such as variables, equations, and solving for unknowns. Start by reading the problem carefully. Make sure you understand what the problem
Understand basic algebraic concepts such as variables, equations, and solving for unknowns.
Start by reading the problem carefully. Make sure you understand what the problem is asking you to do, and what information is provided.
Identify what type of problem you are dealing with. Is it a word problem, a geometry problem, an algebraic equation, or something else? Knowing the type of problem will help you determine the best approach to solving it.
Write down any important information from the problem. This might include numbers, variables, or key phrases. You can use this information to help you organize your thoughts and calculations.
Determine what formula or method you will use to solve the problem. If you're working with geometry, you might need to use the Pythagorean theorem or the formula for finding the area of a circle. If you're dealing with an algebraic equation, you might need to use the distributive property or solve for an unknown variable.
Start solving the problem step by step. Use the formula or method you have chosen to work through the problem, making sure to show all your work. This will make it easier to catch any mistakes and to communicate your thought process to others.
Check your answer as you go. Make sure you haven't made any calculation errors, and that your answer makes sense in the context of the problem.
Don't be afraid to ask for help if you get stuck. Sometimes it can be helpful to work through a problem with someone else, or to ask a teacher or tutor for assistance.
Take your time. Rushing through a math problem can lead to careless mistakes or overlooking important information. Take the time to think through each step of the problem carefully.
Double check your answer when you are finished. Make sure you have answered the question that was asked, and that your answer is correct.
If you have time, try working through the problem again using a different method or formula. This can help you reinforce your understanding of the problem and check your work.
















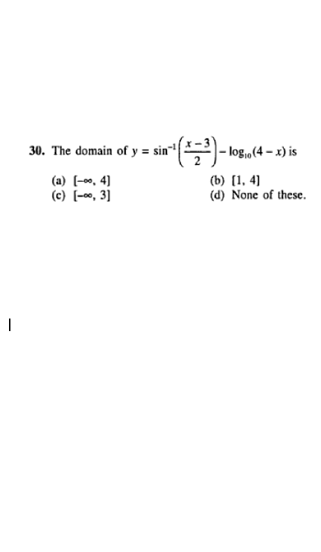
\f\f\f\f\f\f\f\f\f\f30. The domain of y = sin" x -3 2 - logo (4 - x) is (a) [-00. 4] (b) [1. 4] (c) [-00, 3] (d) None of these.41. If f(x) = (1 + sin'vx)"(", then the value of f(0) that makes the function continuous everywhere is (a) e (b) 1/2 (c) ve (d) 0.16. If f(x) = 2x - 1, X30 then f(-1/2) is (a) -2 (b) -1 (c) 1 (d) 2.\f\f\f
Step by Step Solution
There are 3 Steps involved in it
Get step-by-step solutions from verified subject matter experts
