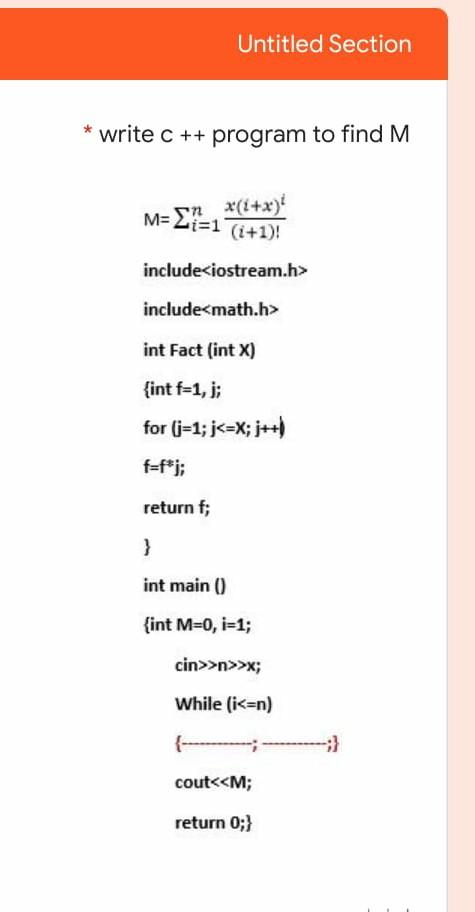
Question: Untitled Section write C ++ program to find M M=27=1 sn x(1+x) (i+1)! include include int Fact (int x) {int f=1, j; for (i=1; j>n>>x;

Untitled Section write C ++ program to find M M=27=1 sn x(1+x) (i+1)! include
Step by Step Solution
There are 3 Steps involved in it
Get step-by-step solutions from verified subject matter experts
