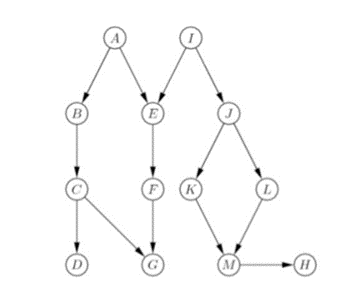
Question: Use d - separation to determine whether the following conditional independencies are implied by the structure of this Bayes net. Explain your answer by specifying
Use dseparation to determine whether the following conditional independencies are implied by the structure of this Bayes net. Explain your answer by specifying which path isisnt blocked. The notation X perpendicular Z space vertical line space Y means that X is conditionally independent of Z given that the value of Y is known.
a Is A perpendicular I space vertical line space empty set implied by the structure of the Bayes net?
Is the path AEI blocked? Yes or no
Is the path ABCGFEI blocked? Yes or no
QUESTION
b Is A perpendicular I space vertical line space G implied by the structure of the Bayes net?
Is the path AEI blocked? Yes or no
Is the path ABCGFEI blocked? Yes or no
QUESTION
c Is J perpendicular G space vertical line space F implied by the structure of the Bayes net?
Is the path JIEFG blocked? Yes or no
Is the path JIEABCG blocked? Yes or no
QUESTION
d Is J perpendicular M space vertical line space K comma L implied by the structure of the Bayes net?
Is the path JKM blocked? Yes or no
Is the path JLM blocked? Yes or no
QUESTION
e Is E perpendicular C space vertical line space A comma G implied by the structure of the Bayes net?
Is the path EABC blocked? Yes or no
Is the path EFGC blocked? Yes or no
QUESTION
f Is E perpendicular C space vertical line space A implied by the structure of the Bayes net?
Is the path EABC blocked? Yes or no
Is the path EFGC blocked? Yes or no
Step by Step Solution
There are 3 Steps involved in it
1 Expert Approved Answer
Step: 1 Unlock
Question Has Been Solved by an Expert!
Get step-by-step solutions from verified subject matter experts
Step: 2 Unlock
Step: 3 Unlock
