Question: Use DeHartSimplified.csv dataset for this problem. This dataset contains 13 variables. Model the data with a generalized linear model using the Poisson link function


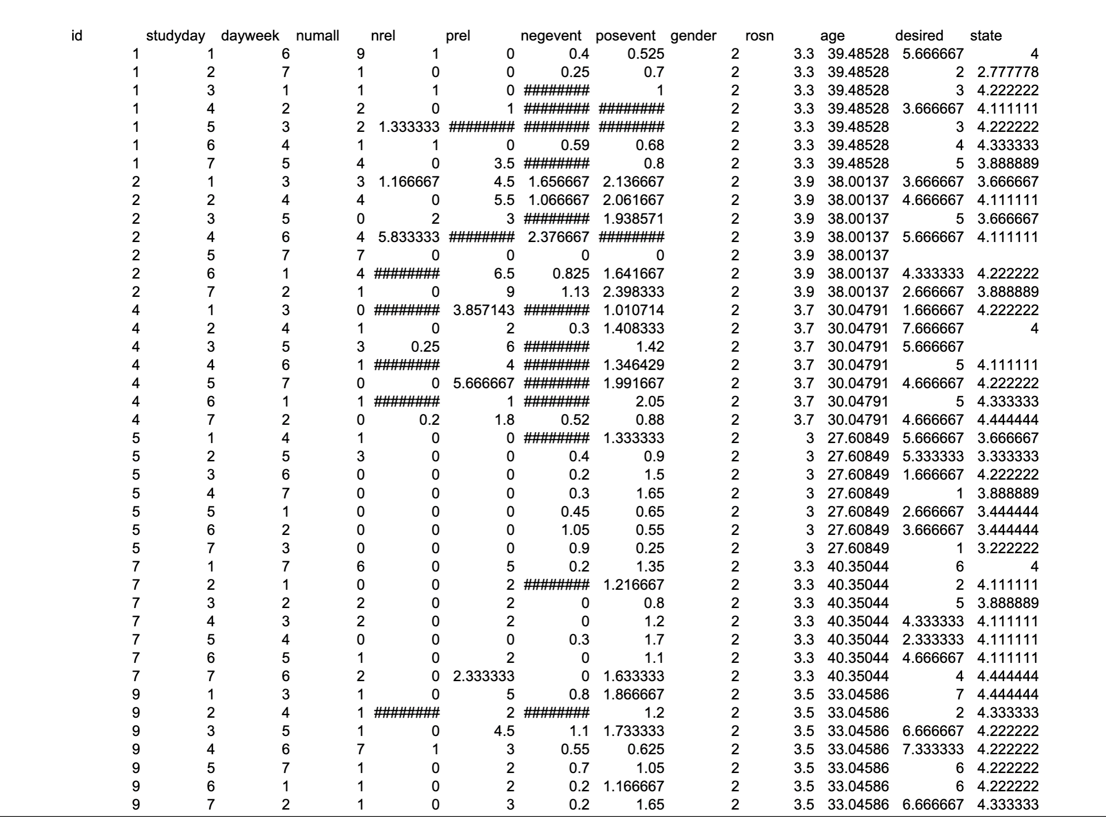
Use DeHartSimplified.csv dataset for this problem. This dataset contains 13 variables. Model the data with a generalized linear model using the Poisson link function using numall as your dependent variable and negevent as the explanatory variable. a. State the generalized linear model. b. Check the model fit using X2 or G2. C. Calculate a confidence interval of negevent. d. Create the glm with a Poisson link function where numall is modeled with interaction between negevent and posevent. Compare the two models and interpret the results id studyday dayweek numall nrel prel negevent posevent gender rosn age desired state 1 1 6 9 1 0 1 2 7 0.4 0.25 0.525 0.7 1 1 1 1 1 19 2 1234534567-234567-24567-237-234563456712 234567123456912345671234567-234567 2 2 2 2 2 2 444 4444 55555552~~~~~~ 6662660 3 1 1 4 2 0 1 5 2 1.333333 6 1 1 0 0.59 0.68 7 4 0 3.5 ######## 0.8 1 3 1.166667 4.5 1.656667 2.136667 4 0 5.5 1.066667 2.061667 0 2 3 ######## 1.938571 4 5.833333 2.376667 ## 7 0 0 0 4 6.5 0.825 1.641667 1 0 9 1.13 2.398333 0 # 3.857143 ###### 1.010714 1 0 2 0.3 1.408333 3 0.25 6 1.42 1 4 0 0 5.666667 1 1 0.2 1.8 0 ######## 3 0 0 0.52 0.4 0.9 0.2 1.5 0.3 1.65 0.45 0.65 1.05 0.55 0.9 0.25 7 6 5 0.2 1.35 3.3 40.35044 7 2 1.216667 3.3 40.35044 7 2 0 0.8 7 2 2 0 1.2 7 0 0 0.3 1.7 7 1 2 0 1.1 7 2 0 2.333333 0 1.633333 9 1 0 5 0.8 1.866667 3.5 33.04586 9 1 2 1.2 3.5 33.04586 4 4.444444 7 4.444444 2 4.333333 1 4.5 1.1 9 7 3 0.55 1 0.7 1.733333 0.625 1.05 1 2 0.2 1.166667 3.5 33.04586 1 3 0.2 1.65 3.5 33.04586 6.666667 4.333333 1.346429 1.991667 2.05 0.88 1.333333 222222222222222222222222222222222222222222 3.3 39.48528 5.666667 4 3.3 39.48528 2 2.777778 3.3 39.48528 3 4.222222 3.3 39.48528 3.666667 4.111111 3.3 39.48528 3 4.222222 3.3 39.48528 4 4.333333 3.3 39.48528 5 3.888889 3.9 38.00137 3.666667 3.666667 3.9 38.00137 4.666667 4.111111 3.9 38.00137 5 3.666667 3.9 38.00137 5.666667 4.111111 3.9 38.00137 3.9 38.00137 4.333333 4.222222 3.9 38.00137 2.666667 3.888889 3.7 30.04791 1.666667 4.222222 3.7 30.04791 7.666667 3.7 30.04791 5.666667 3.7 30.04791 3.7 30.04791 4.666667 4.222222 3.7 30.04791 5 4.333333 3.7 30.04791 4.666667 4.444444 3 27.60849 5.666667 3.666667 3 27.60849 5.333333 3.333333 3 27.60849 1.666667 4.222222 3 27.60849 1 3.888889 3 27.60849 2.666667 3.444444 3 27.60849 3.666667 3.444444 3 27.60849 1 3.222222 5 4.111111 6 4 2 4.111111 3.3 40.35044 5 3.888889 3.3 40.35044 4.333333 4.111111 3.3 40.35044 2.333333 4.111111 3.3 40.35044 4.666667 4.111111 3.3 40.35044 3.5 33.04586 6.666667 4.222222 3.5 33.04586 7.333333 4.222222 3.5 33.04586 6 4.222222 6 4.222222
Step by Step Solution
There are 3 Steps involved in it
Get step-by-step solutions from verified subject matter experts
