Question: Use excel to solve the problem.Provide the Excel VBA code The Bessel functions are frequently used in the chemical engineering calculation of mass and heat
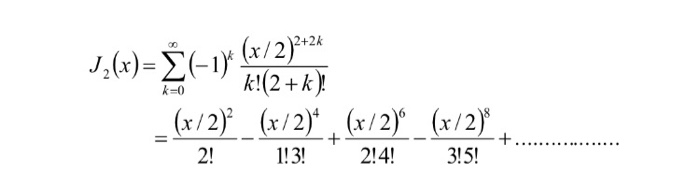
The Bessel functions are frequently used in the chemical engineering calculation of mass and heat transfer. Write a Visual Basic function to calculate the Bessel function of the first kind and order 2. The Bessel function of first kind and second order can be described by the power series of the function argument x as follows: 2145 The required relative error is 104 (40 m)
Step by Step Solution
There are 3 Steps involved in it
Get step-by-step solutions from verified subject matter experts
