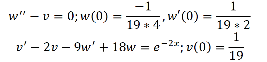
Question: Use Mathematica or Matlab to solve w-v = 0; w(0) 19 2 19 * 4 19
Use Mathematica or Matlab to solve

w"-v = 0; w(0) 19 2 19 * 4 19
Step by Step Solution
There are 3 Steps involved in it
1 Expert Approved Answer
Step: 1 Unlock
Question Has Been Solved by an Expert!
Get step-by-step solutions from verified subject matter experts
Step: 2 Unlock
Step: 3 Unlock
