Question: use matlab, or visual basic to solve the following exercise, the example is solved thanks use matlab, or visual basic to solve the following exercise
use matlab, or visual basic to solve the following exercise,
the example is solved
thanks



use matlab, or visual basic to solve the following exercise
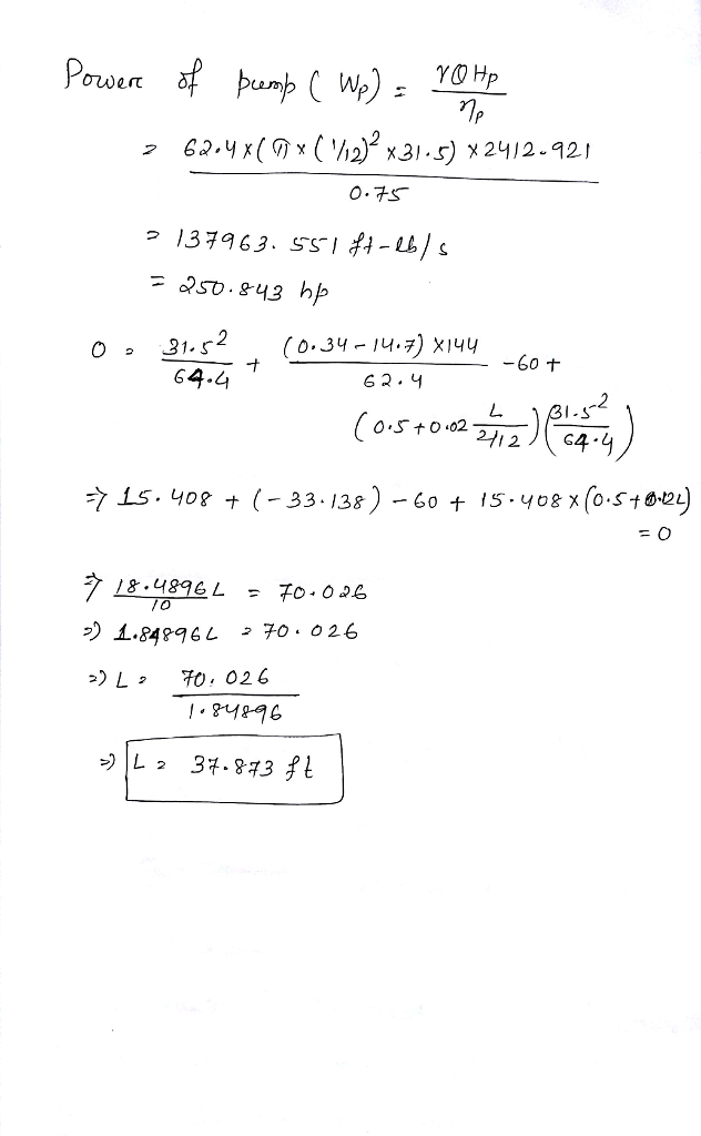
What pump power (75% efficient) is needed in the piping system shown in Fig. P7.134? What is the greatest distance from the reservoir that the pump can be located? 7.134 Water 21C18 m 5 cm-dia. wrought iron pipe 2.5 cm-dia 690 kPa ( 360 m
Step by Step Solution
There are 3 Steps involved in it
Get step-by-step solutions from verified subject matter experts
