Question: Use proper notation. Show all your work clearly. Include sentences when it helps to clarify your process. Evaluate all integrals by hand showing all the

Use proper notation. Show all your work clearly. Include sentences when it helps to clarify your process. Evaluate all integrals by hand showing all the steps that lead to your answer.
Give exact answers, not decimal approximations.
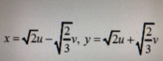
Box-in your final answers Use the transformation



Step by Step Solution
There are 3 Steps involved in it
Get step-by-step solutions from verified subject matter experts
