Question: (Use symbolic notation and fractions where needed. Let I = i(t) and express your answer in terms of Mo and I.) D(t) = T .





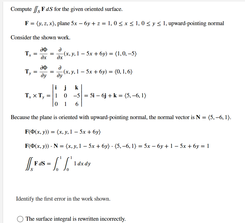
(Use symbolic notation and fractions where needed. Let I = i(t) and express your answer in terms of Mo and I.) D(t) = T . m2 Use Faraday's Law to determine the voltage drop around the rectangular loop (the boundary of the rectangle) at time t = 7. Assume Mo = 4x . 10-7 T . m/A. (Use symbolic notation and fractions where needed.) E . dr = V CCompute Ifs F dS for the given oriented surface. F = (y, z, x), plane 5x - 6y + z = 1, 0
Step by Step Solution
There are 3 Steps involved in it
1 Expert Approved Answer
Step: 1 Unlock
Question Has Been Solved by an Expert!
Get step-by-step solutions from verified subject matter experts
Step: 2 Unlock
Step: 3 Unlock
