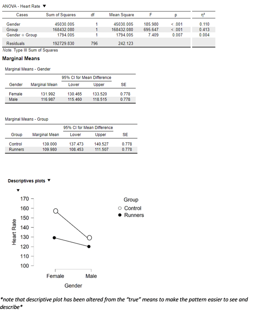
Question: Use the brief description below and the output on the next page to answer questions on the last page. Description: This data set, Heart Rate,




Use the brief description below and the output on the next page to answer questions on the last page. Description: This data set, "Heart Rate", provides heart rates of male and female runners and generally sedentary participants following 6 minutes exercise. Variables: Gender - Participant's gender (Female, Male). Group - Group of 'Runners' (averaging more than15 miles per week) and 'Control' group (generally sedentary participant). Heart Rate - Heart rate after six minutes of exercise. This example JASP file demonstrates the use of a 2 x 2 between subjects ANOVA. Specifically, we test whether heart rates differ between gender and groups. References: Moore, D. S., Mccabe, G. P., and Craig, B. A. (2012). Introduction to the Practice of Statistics (7th ed.). New York: Freeman. Wood, P.D, Haskell, W. L., Stern, M. P., Lewis, S. and Perry, C. (1977). Plasma lipoprotein distributions in male and female runners. Annals of the New York Academy of Sciences, 301: 748-763.ANOVA - Heart Rate Cases Sum of Squares df Mean Square F P Gender 45030.005 45030.005 185.980 <.001 group gender residuals note. type ill sum of squares marginal means cl for mean difference lower upper se female male ci jpper control runners descriptives plots . heart rate that descriptive plot has been altered from the to make pattern easier see and describe>
Step by Step Solution
There are 3 Steps involved in it
Get step-by-step solutions from verified subject matter experts
