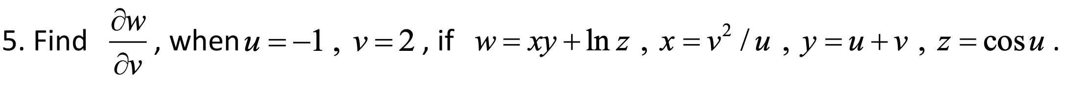
Question: Use the Chain Rule to evaluate 5. Find whenu 1, v = 2, if w=xy+lnz / u ,y=u+v,z=cosu.
Use the Chain Rule to evaluate

5. Find whenu 1, v = 2, if w=xy+lnz / u ,y=u+v,z=cosu.
Step by Step Solution
There are 3 Steps involved in it
Get step-by-step solutions from verified subject matter experts
