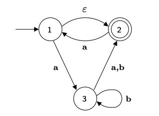
Question: Use the construction given in Theorem 1.39 to convert each NFA to its equivalent DFA by showing; Use a table for definitions. (1) the formal
Use the construction given in Theorem 1.39 to convert each NFA to its equivalent DFA by showing;
Use a table for definitions.
(1) the formal definition of the NFA
(2) the formal definition of its equivalent DFA
(3) drawing the state diagram of its equivalent DFA.

a,b
Step by Step Solution
There are 3 Steps involved in it
Get step-by-step solutions from verified subject matter experts
