Question: Use the elimination method to find a general solution for the given linear system, where differentiation is with respect to t. x' = 4x -


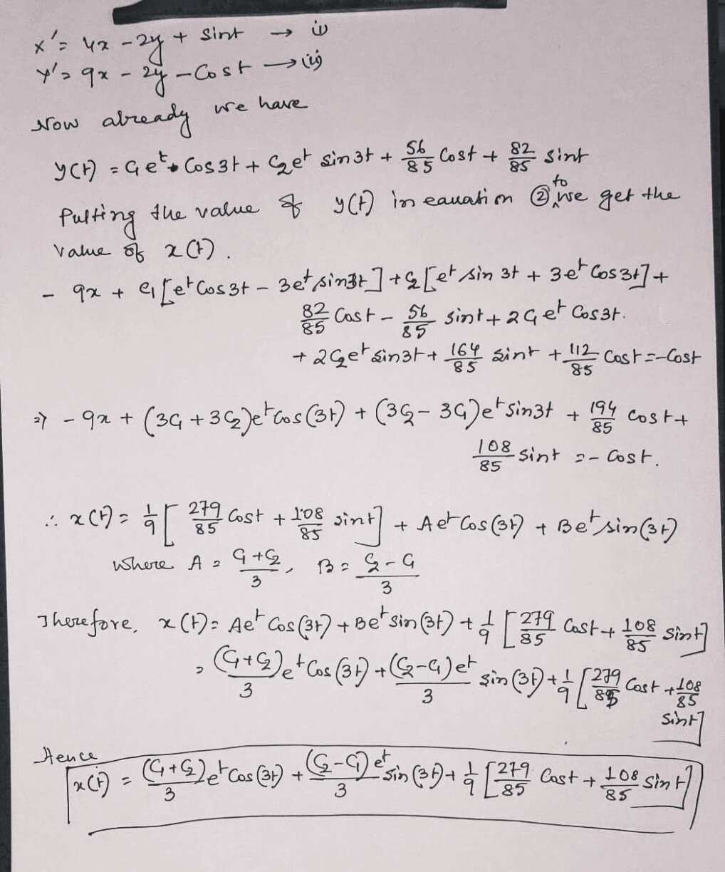
Use the elimination method to find a general solution for the given linear system, where differentiation is with respect to t. x' = 4x - 2y + sint y' = 9x - 2y - cost 56 82 O A. y(t) = Ce + Ci,te + 85 cost+ 85 sint O B. y(1) = Gqe + Cyte-1+ 56 82 85 cost+ 85 sin t 56 O c. y(t) = Ce"cos 3t+ Ce sin 3t+- 82 85 cost+ 85 sint 56 82 D. y(1) = Gqe cos 31 + Cze sin 3t+ 85 cost + sin t 85 O E. The system is degenerate. Now find x(t) so that x(t) and the solution for y(t) found in the previous step are a general solution to the system of differential equations. Select the correct choice below and, if necessary, fill in the answer box to complete your choice. O A. x(1) = O B. The system is degenerate.* = 42 - 24 + sint - 4/ 2 9x - 24 - Cost - lig Now already we have YCH = Get. Cossi + Get sinst + sby Cost + 82 sink Pulting the value of y (1) in equation ? we get the value 87 2 (1 ). - qx + el [ et cos3t - 3 et / sinst ] + G [et /in 3+ + 3 et Cos3+7+ 85 82 Cost - 56 sint+ 2Get cost. 85 + 2 Getsinst+ 164 sint + 112 Cost = -Cost 85 31 - 92 + ( 3 4 + 3 62)etcos (31) + (36 - 39)ersin3+ + 194 costa 85 108 sint = - Cost. 85 279 cost + 108 sint + Aet Cos ( 31) + Be-sin ( 31) Where A = 9+2, B2 9 - 9 3 3 Therefore, x (1) = Act cos ( 31) + Bersin ( 31 ) + + 27 31 Cost+ 108 sint 85 3 (9 + ( )et Cos ( 31 ) + ( G- ( ) e sin (31) +9 / 85 1279 Cost + 108 3 85 sint] Hence 3 x (A) = 4+ 62et Cos ( 31) + 3 (G- 9) esin ( 31 ) + 2 5279 Cost + 108 sint 85
Step by Step Solution
There are 3 Steps involved in it
Get step-by-step solutions from verified subject matter experts
