Question: Use the following to answer questions 1 1 - 1 5 The company issues 6 . 0 % , 2 0 - year bonds with
Use the following to answer questions
The company issues year bonds with a face amount of $ for $ The market interest rate for bonds of similar risk and maturity is Interest is paid annually.
Determine the interest payment.
rounded to nearest dollar Determine interest expense for the first interest payment.
What will happen to interest expense each interest payment? Increase decrease, remain constant
What will happen to the bond liability carrying value each interest payment? Increase decrease, remain constant
: When the bond matures in years after all the interest payments have been made, how much will the company pay bondholders?
$ rounded to nearest dollar A ten year bond issue with a face amount of $ bears interest at the rate of The current market rate of interest is Determine the issue price of this annual bond.
Bond and Bond are both issued by the same company. Each of the bonds has a face value of $ and each matures in years. Bond pays interest while Bond pays interest. The current market rate of interest is Which of the following is correct?
a Both bonds will sell for the same amount.
b Bond will sell for more than Bond
c Bond will sell for more than Bond
d Both bonds will sell at a premium.
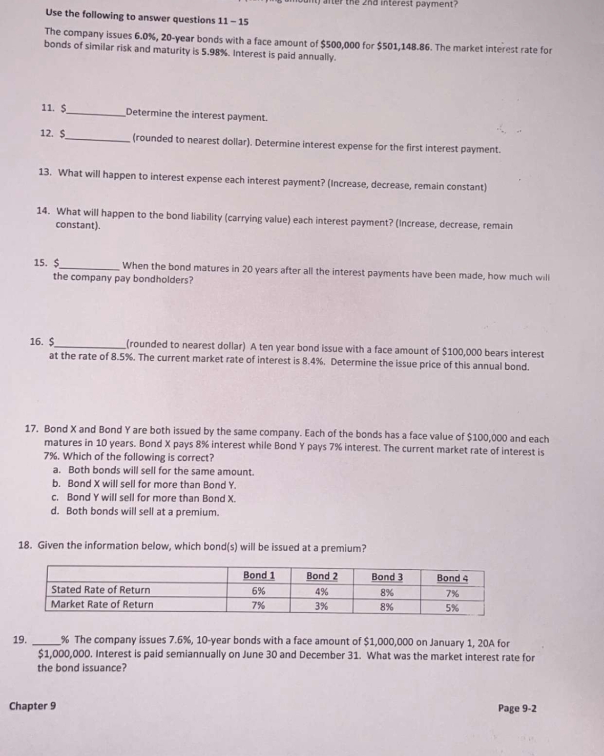
Given the information below, which bonds will be issued at a premium?
tableBond Bond Bond Bond Stated Rate of Return,
Step by Step Solution
There are 3 Steps involved in it
1 Expert Approved Answer
Step: 1 Unlock
Question Has Been Solved by an Expert!
Get step-by-step solutions from verified subject matter experts
Step: 2 Unlock
Step: 3 Unlock
