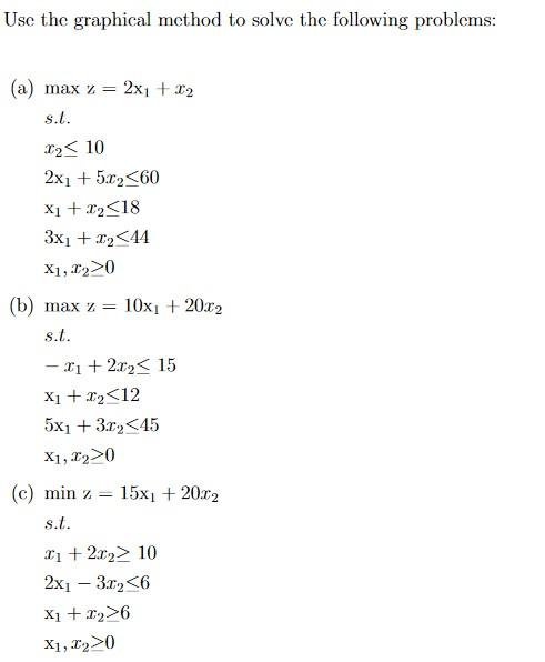
Question: Use the graphical method to solve the following problems: (a) max 2 = 2x1 + 12 s.l. X20 (b) max z = 10x1 + 20:22

Step by Step Solution
There are 3 Steps involved in it
1 Expert Approved Answer
Step: 1 Unlock
Question Has Been Solved by an Expert!
Get step-by-step solutions from verified subject matter experts
Step: 2 Unlock
Step: 3 Unlock
