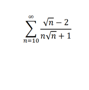
Question: Use the Limit Comparison Test to determine whether the given series converge or diverge f

Use the Limit Comparison Test to determine whether the given series converge or diverge

Use the Limit Comparison Test to determine whether the given series converge

\f

Step by Step Solution

There are 3 Steps involved in it

1 Expert Approved Answer
Step: 1 Unlock blur-text-image
Question Has Been Solved by an Expert!

Get step-by-step solutions from verified subject matter experts

Step: 2 Unlock
Step: 3 Unlock

Students Have Also Explored These Related Mathematics Questions!