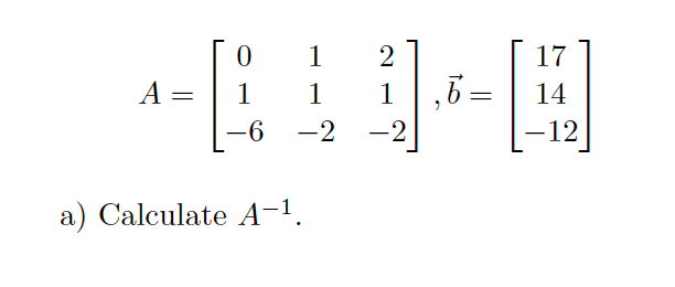
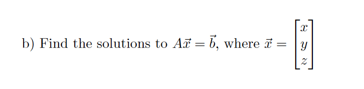
Question: Use the matrices below to solve the following problems: 17 A = 1 = 14 -6 -2 -2 -12 a) Calculate A-1.b) Find the solutions
Use the matrices below to solve the following problems:


Step by Step Solution
There are 3 Steps involved in it
1 Expert Approved Answer
Step: 1 Unlock
Question Has Been Solved by an Expert!
Get step-by-step solutions from verified subject matter experts
Step: 2 Unlock
Step: 3 Unlock
