Question: Use the Midpoint Rule n 3'3- + 113' 1 Area. m ; Am :3 f( 2 ) with n : 4 to approximate the oreo



![at) : m2 + 3 end the xdxis over [0, 2]. Ax](https://s3.amazonaws.com/si.experts.images/answers/2024/06/6664f150177ea_4076664f14febd0b.jpg)



![approximate area of region over . [0, 2 ]. fox) = at](https://s3.amazonaws.com/si.experts.images/answers/2024/06/6664f15169060_4096664f15150b5b.jpg)
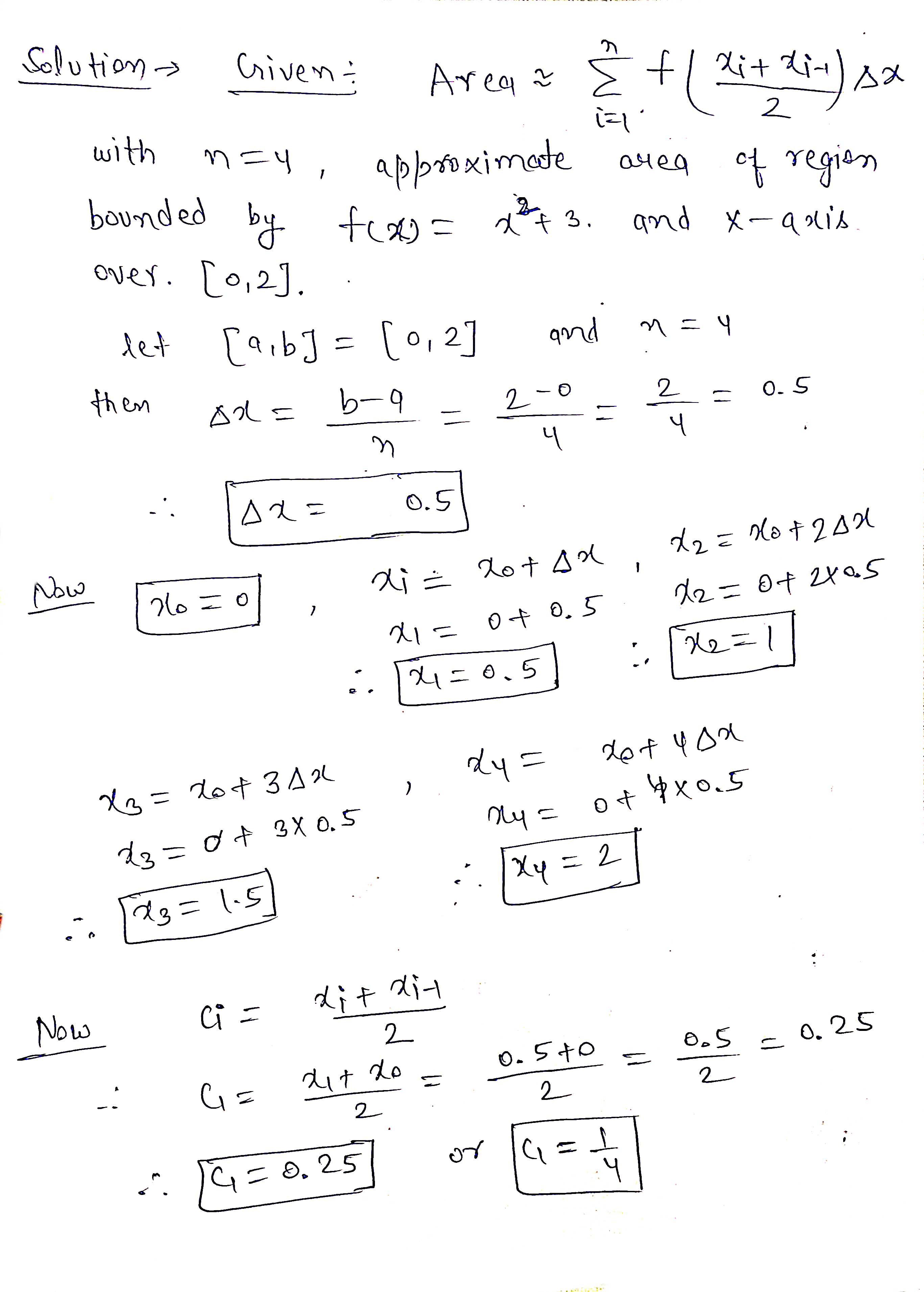
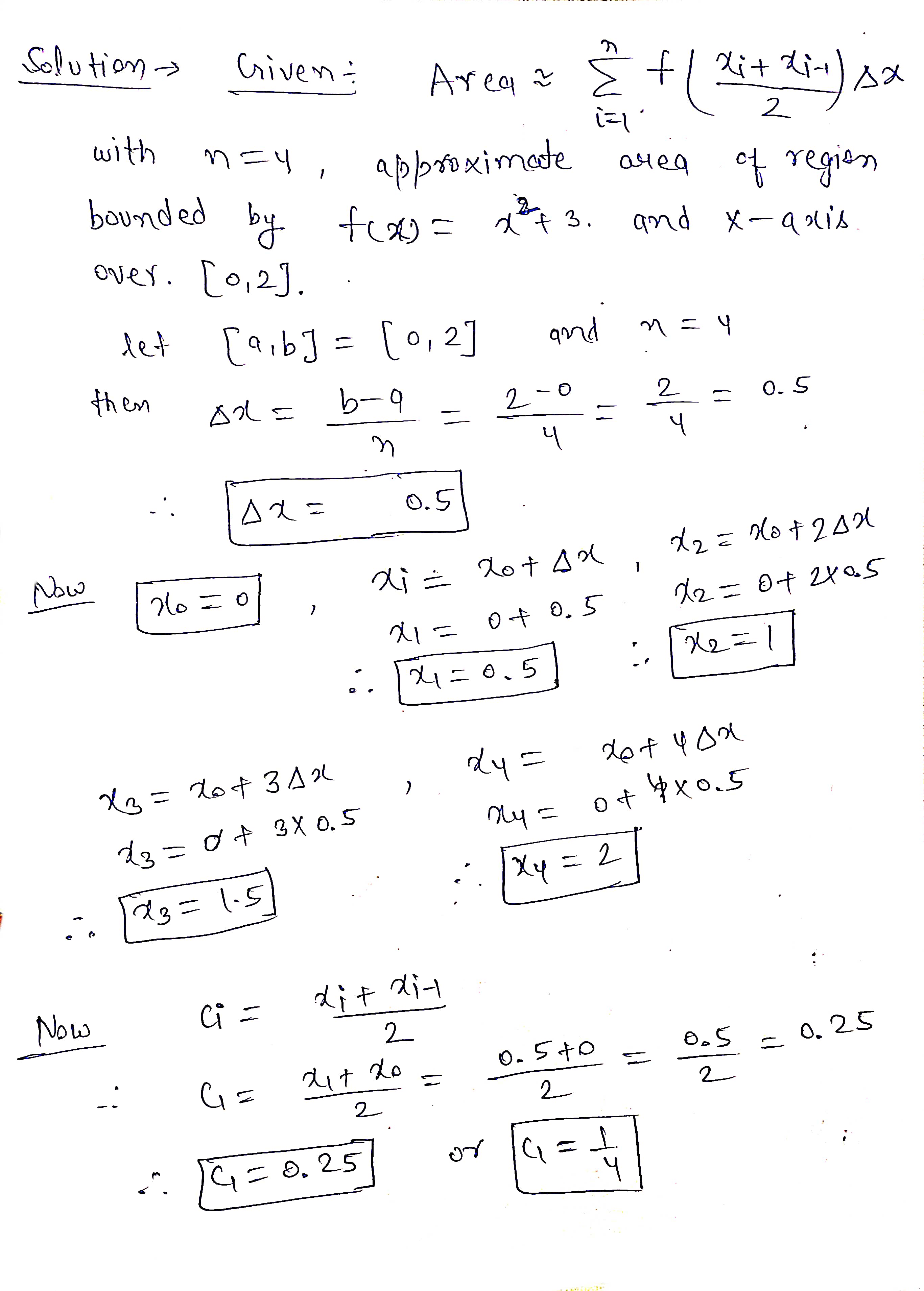
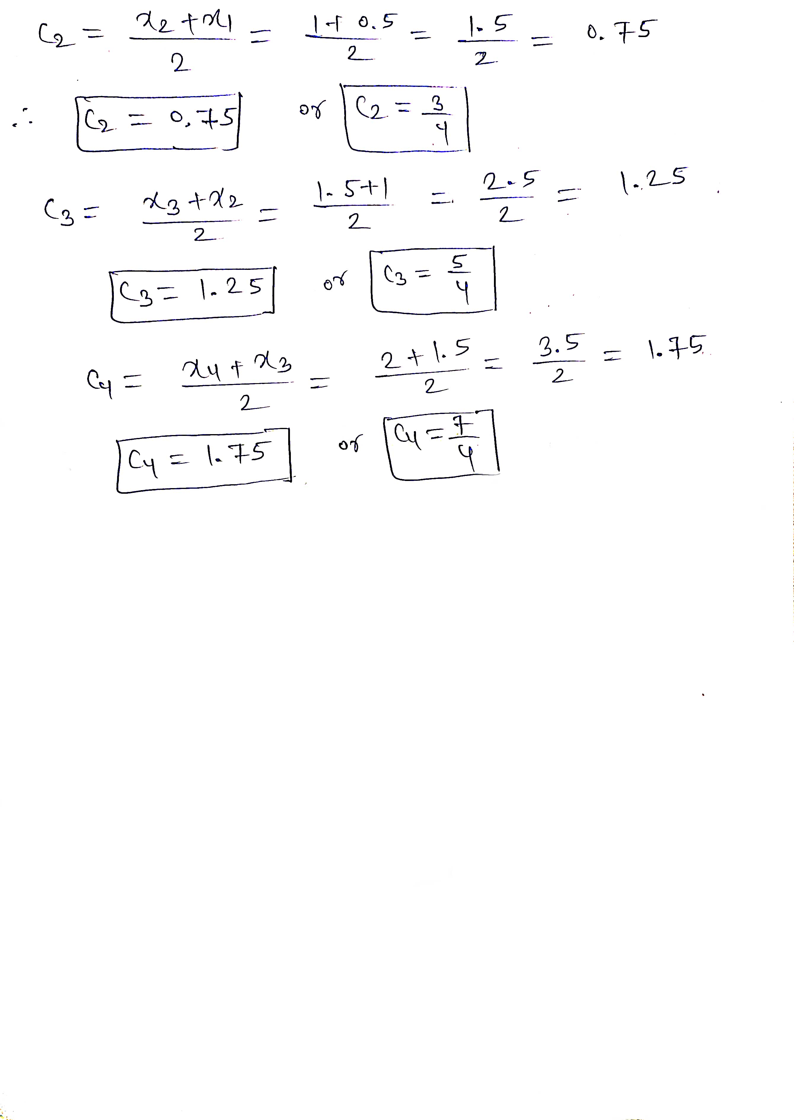
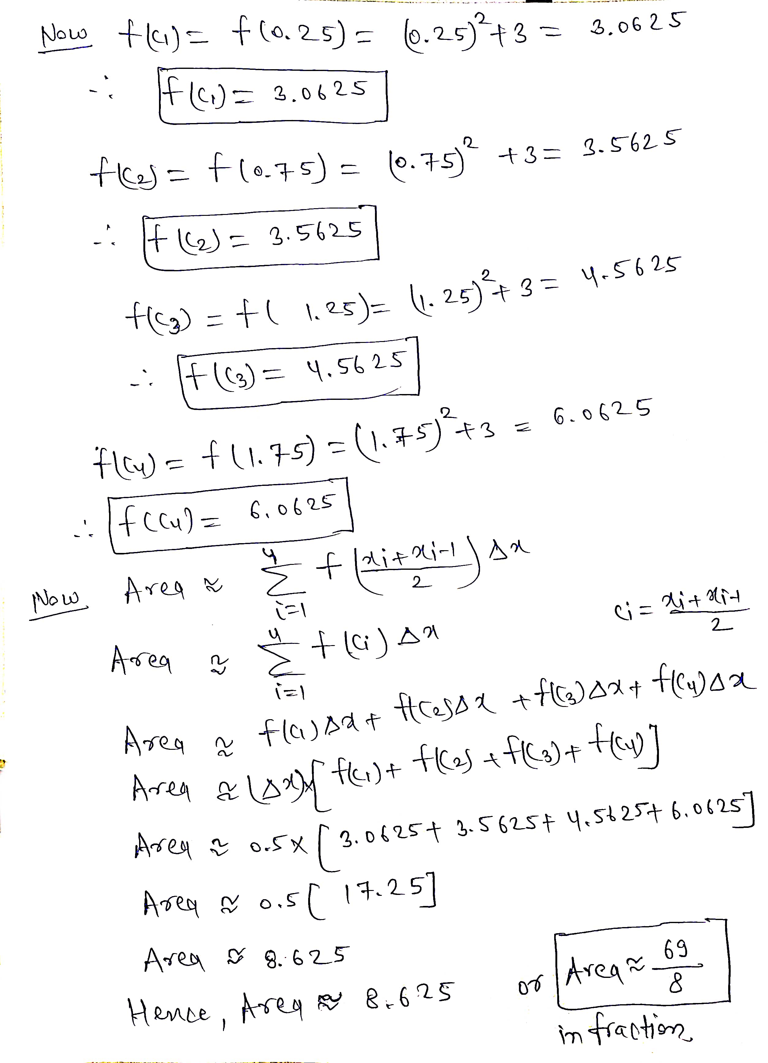
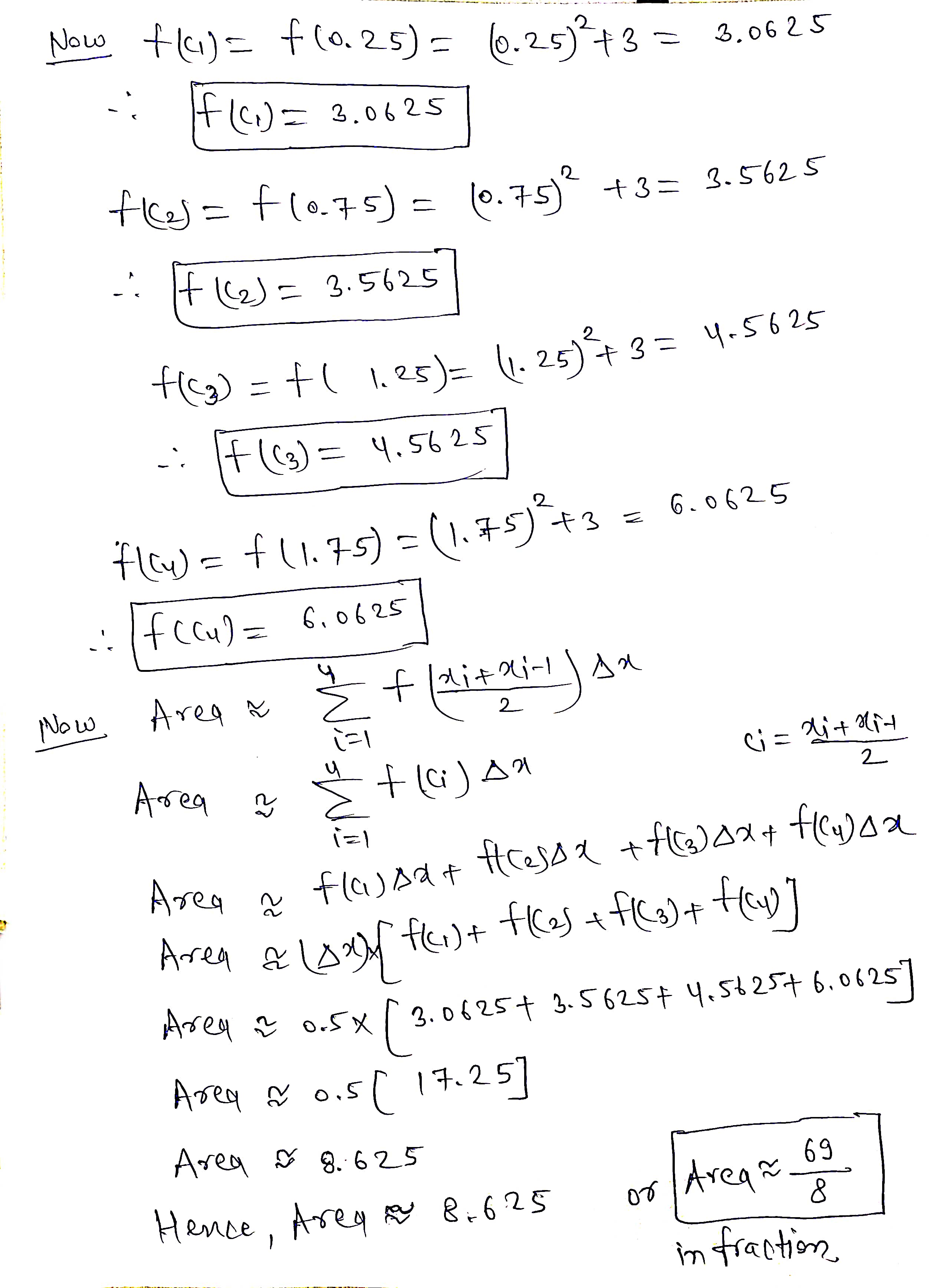
Use the Midpoint Rule n 3'3- + 113' 1 Area. m ; Am :3 f( 2 ) with n : 4 to approximate the oreo of the region bounded by the graph of the function at) : m2 + 3 end the xdxis over [0, 2]. Ax = E frc1)=|:i f(C2)=E f(c3)=:i aki tree m E Note: If your answer is 0 fraction, input 01b for %. Solution - Given : Area 2 + xit di- ) xx with may, 2 bounded by approximate area of region over . [0, 2 ]. fox) = at 3 . and x - axis let [aibj = (o,2] and n = y then sad= b-9 2 - 0 2 0 . 5 4 0.5 Now no = 0 X1 = 0+ 0.5. 12 = 0+ 2x05 14 =0.5 2 2= 1 XB = Hot 312 dy = 23 = Of 3 X 0.5 my = of XO. 5 23 = 1.5 Xy = 2 Now Ci = dif did 2 4 = dit do 0.5+0 0.5 = 0.25 2 2 2 4 = 0. 25
Step by Step Solution
There are 3 Steps involved in it
Get step-by-step solutions from verified subject matter experts
