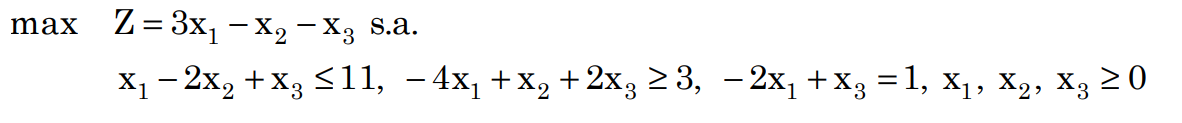
Question: Use the penalty method to solve the programming model linear: s.a= subject to max Z=3x-X2 X3 s.a. X1 2x2 + x3 =11, 4x, + x2
Use the penalty method to solve the programming model linear:

s.a= subject to
max Z=3x-X2 X3 s.a. X1 2x2 + x3 =11, 4x, + x2 + 2x, 23, 2x1 + x3 = 1, X1, X2, X, 20 = 3 >Step by Step Solution
There are 3 Steps involved in it
1 Expert Approved Answer
Step: 1 Unlock
Question Has Been Solved by an Expert!
Get step-by-step solutions from verified subject matter experts
Step: 2 Unlock
Step: 3 Unlock
