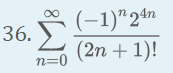
Question: use the Ratio Test to determine the convergence or divergence of the series. If the Ratio Test is inconclusive, determine the convergence or divergence of









use the Ratio Test to determine the convergence or divergence of the series. If the Ratio Test is inconclusive, determine the convergence or divergence of the series using other methods.














\f( - n- (3/2) 28. M n n=1
Step by Step Solution
There are 3 Steps involved in it
1 Expert Approved Answer
Step: 1 Unlock
Question Has Been Solved by an Expert!
Get step-by-step solutions from verified subject matter experts
Step: 2 Unlock
Step: 3 Unlock
