Question: Use the recursion tree method to solve the following recurrence: T(m) = { (1) 27(n/8) +n ifn = 1, otherwise
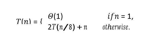
Use the recursion tree method to solve the following recurrence:

T(m) = { (1) 27(n/8) +n ifn = 1, otherwise
Step by Step Solution
There are 3 Steps involved in it
Get step-by-step solutions from verified subject matter experts
