Question: Use visualization techniques, such as drawing graphs or diagrams, to better understand and solve problems. Read the problem carefully: Before you start to solve a
Use visualization techniques, such as drawing graphs or diagrams, to better understand and solve problems.
Read the problem carefully: Before you start to solve a math problem, it is essential to read it carefully and try to understand the question. Make sure you know what you are being asked to find and what information is given. Read the problem multiple times if necessary, and highlight any important information or numbers.
Identify what is being asked: Once you have read the problem, identify what is being asked. This is often called the "problem statement" or "question." It is usually at the end of the problem and asks you to find a solution or answer. Make sure you know exactly what you are being asked to find.
Draw a diagram: If the problem involves geometry or spatial reasoning, it can be helpful to draw a diagram to visualize the problem. This can help you to better understand the relationships between different parts of the problem.
Use appropriate formulas and equations: Depending on the type of problem, you may need to use formulas or equations to find the solution. Make sure you use the appropriate formula or equation for the problem at hand. If you are unsure which formula to use, refer to your textbook or notes, or ask your teacher or tutor for help.
Solve the problem: Once you have identified what is being asked and have the necessary formulas and equations, it is time to solve the problem. Show your work and write down each step in the process. Double-check your work and make sure your answer is reasonable.
Check your answer: Finally, it is important to check your answer to make sure it is correct. You can by plugging your answer back into the problem and seeing if it makes sense. Alternatively, you can use estimation or other techniques to check your work.Break the problem down: If the problem seems overwhelming or complex, try breaking it down into smaller parts. This can make the problem more manageable and easier to solve. Identify the individual steps you need to take to reach the solution.
Use examples: If the problem is abstract or difficult to visualize, try using examples or real-world scenarios to help you understand the problem better. This can help you to better understand the problem and how to approach it.
Look for patterns: Sometimes, problems involve patterns or sequences. Look for patterns in the numbers or information given to help you solve the problem. This can help you to identify the next step in the process.
Use logic: When solving a math problem, it can be helpful to use logic and reasoning to find the solution. Think about what makes sense and use deductive reasoning to eliminate possible answers or solutions.
Practice regularly: The more you practice solving math problems, the better you will become at it. Practice regularly and work through a variety of problems to build your skills and confidence.
Seek help if necessary: If you are struggling to solve a math problem, don't be afraid to seek help. Ask your teacher or tutor for assistance, or work with a study group to get feedback and support.
Review your work: After you have solved a problem, take the time to review your work and reflect on the process. Identify what went well and what you could improve upon for next time.
Stay organized: Keeping your notes, formulas, and equations organized can help you to quickly reference them when needed. Use a notebook or binder to keep your math materials in one place.












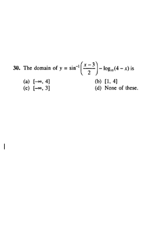
\f\f\f\f49. Th: displacvzmcnl : of a particle moving in a straight line is given by S = 4:, + 2:2 3: + 1. 5 being measured in cm and time: in second. The initial acceleration of the maid: in Ismfwc2 is (a) 1 {b} 4 (c) -3 (d) = 24 \f\f\f30. The domain of y = sin" x -3 2 - logo (4 - x) is (a) [-00. 4] (b) [1. 4] (c) [-00, 3] (d) None of these.41. If f(x) = (1 + sin'vx)"(", then the value of f(0) that makes the function continuous everywhere is (a) e (b) 1/2 (c) ve (d) 0.16. If f(x) = 2x - 1, X30 then f(-1/2) is (a) -2 (b) -1 (c) 1 (d) 2.\f
Step by Step Solution
There are 3 Steps involved in it
Get step-by-step solutions from verified subject matter experts
