Question: Use your graphing calculator to solve the equation graphically for all real solutions. x3 - 7x- + 9x +5 =0 Solutions: x = Make sure














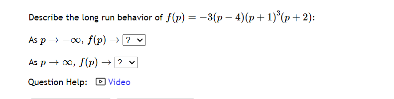
Use your graphing calculator to solve the equation graphically for all real solutions. x3 - 7x- + 9x +5 =0 Solutions: x = Make sure your answers are accurate to at least two decimals.Describe the long run behavior of f(p) = -3(p - 4)(p + 1) (p + 2): As p - -0o, f(p) ? v As p -> co, f(p) -> ? v Question Help: VideoThe polynomial of degree 5, P(a ), has leading coefficient 1, has roots of multiplicity 2 at a = 1 and x = 0, and a root of multiplicity 1 at x = -3. Find a possible formula for P(a). P(a) = Question Help: VideoThe polynomial of degree 4, P(a), has a root of multiplicity 2 at a = 4 and roots of multiplicity 1 at x = 0 and x = -4. It goes through the point (5, 36). Find a formula for P(x). P(a) = Question Help: VideoThe polynomial of degree 3, P(a), has a root of multiplicity 2 at x = 3 and a root of multiplicity 1 at = -3. The y-intercept is y = -13.5. Find a formula for P(a). P(ac) = Question Help: VideoWrite an expression in factored form for the polynomial of least possible degree graphed below. -5 -3 -2 1 3 -1 i+ Q y(x) = Question Help: VideoWrite an expression in factored form for the polynomial of least possible degree graphed below. -4 -1 4 Q y(x) = Question Help: Video
Step by Step Solution
There are 3 Steps involved in it
Get step-by-step solutions from verified subject matter experts
